我在寻找这个java方法的递归公式时遇到了麻烦
void printInorder(Node<T> v) {
if(v != null) {
printInorder(v.getLeft());
System.out.println(v.getData());
printInorder(v.getRight());
}
}一些标准:
我必须找到与带有depth h的树的n knots相关的递推公式,并且作为附加的附加条件,我需要从它中推断出导致O(n)的显式公式。
现在,我得到的是:
d = depth of the tree
c = constant runtime for execution of the method itself
d = 1: T(n) = c
d = 3: T(n) = T(d=1) + T(d=2) + T(d=3) + c我使用了d=3的例子来说明问题,我很难把它进一步分解。我的假设对吗?
编辑:下一次尝试
[x] = { x in real numbers : max([x]) <= x }, [x] rounded down to next full number
d = 1: T(d) = 1
d > 1: T(d) = 2^(h-1) * T(n/(2^(h-1)))
1: T(h) = T(i = 0) + T(i = 1) + ... T(i = h-1)
2: T(h) <= (2^(0-1) + n/(2^(0-1))) + (2^(1-1) + n/(2^(1-1))) + ... + (2^(h-2) + n/(2^(h-2)))
3: T(h) = n + n + ... + n
4: T(h) = (h-1)n
5: T(h) = O(n)因为树的每一层深度都精确地包含2^(h-1)节点,所以可以忽略第4行中的h因子,因为n与最终结果更相关。
发布于 2012-07-09 12:56:22
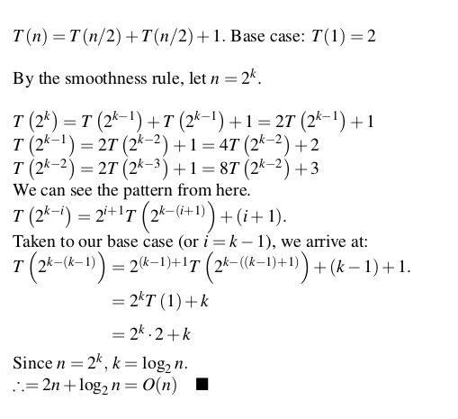
T(n) = T(n/2) + T(n/2) +1
1+2+...+2^lgn=
2^0+2^1+2^2+...+2^lgn=
(2^(lgn + 1)-1)/(2-1)=2*2^lgn=
2n.
发布于 2012-07-09 13:42:30
这里有一种使用平滑规则的替代方法(Levitin,设计和分析算法,第二版,481-82),它允许这样的递归关系被表示为指数。

无论是向前替代还是向后替换,都适合于这个问题。在许多情况下,我发现向后替换更容易理解。
https://stackoverflow.com/questions/11388253
复制相似问题