我们正在构建一个GIS接口来显示GPS跟踪数据,例如,想象一个人骑着自行车在附近游荡了一个小时的原始数据集。这样的一组数据,也许每5秒记录一个新的点,将会很大,并且在浏览器或手持设备中显示是很有挑战性的。而且,显示每个点通常是不必要的,因为用户无法直观地解析那么多数据。
因此,出于性能原因,我们正在寻找擅长“减少”这样的数据的算法,以便显着地减少所显示的点数,但这样做不会造成数据错误解释的风险。例如,如果我们虚构的自行车骑手停下来喝一杯,我们肯定不想在7-11周围的一群人身上得到100分/分。
我们知道集群,当查看一组断开的点时,这是很好的,但是我们需要的是应用于跟踪的东西,如上面所述。谢谢。
发布于 2011-11-04 19:41:03
通常情况下,最好的方法是:
发布于 2011-11-07 18:24:56
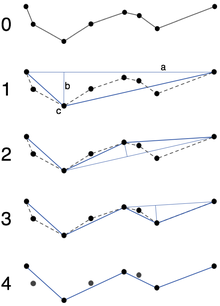
一个更科学、也许更复杂的数学解决方案是使用Ramer-Douglas-Peucker算法来概括您的路径。我在为我的测量学硕士学习的时候用过它,所以这是一件被证实的事情。:-)
给你的路径和最小的角度,你可以容忍在你的路径,它简化了路径通过减少点数。

https://stackoverflow.com/questions/8014816
复制相似问题