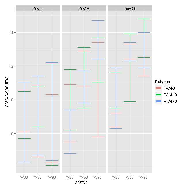
我遇到了一个无法解决的问题,所以也许这里的人可以指出原因。对不起,我无法上载我的数据集,但是下面可以找到一些数据描述。图形的输出如下所示,除了没有行外,其他所有的东西都是可以的。
> all.data<-read.table("D:/PAM/data/Rural_Recovery_Edit.csv",head=T,sep=",")
> all.data$Water<-factor(all.data$Water,labels=c("W30","W60","W90"))
> all.data$Polymer<-factor(all.data$Polymer,labels=c("PAM-0 ","PAM-10 ","PAM-40 "))
> all.data$Group<-factor(all.data$Group,labels=c("Day20","Day25","Day30"))
> dat<-data.frame(Waterconsump=all.data[,9],Water=all.data$Water,Polymer=all.data$Polymer,Age=all.data$Group)
> ggplot(dat,aes(x=Water,y=Waterconsump,colour=Polymer))+
+ stat_summary(fun.y=mean, geom="line",size=2)+
+ stat_summary(fun.ymin=min,fun.ymax=max,geom="errorbar")+#,position="dodge"
+ facet_grid(~Age)
> dim(dat)
[1] 108 4
> head(dat)
Waterconsump Water Polymer Age
1 10.5 W30 PAM-10 Day20
2 10.3 W30 PAM-10 Day20
3 10.1 W30 PAM-10 Day20
4 7.7 W30 PAM-10 Day20
5 8.6 W60 PAM-10 Day20
6 8.4 W60 PAM-10 Day20
> table(dat$Water)
W30 W60 W90
36 36 36
> table(dat$Polymer)
PAM-0 PAM-10 PAM-40
36 36 36
> table(dat$Age)
Day20 Day25 Day30
36 36 36

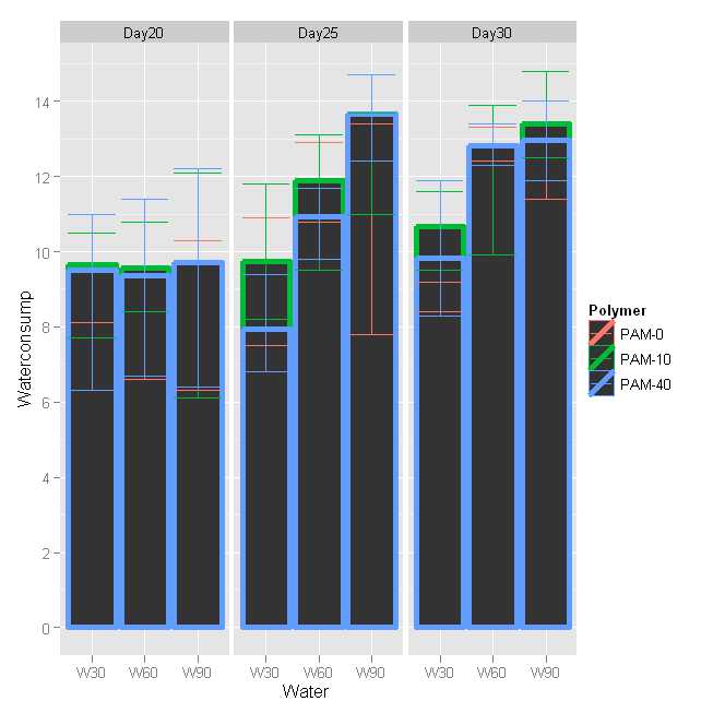
而且,如果我将geom改为"bar",则输出是OK的。

below is the background for this Q我想画出几个受相同因素影响的变量,3个因素。使用木偶图,我可以绘制其中的两个,在一个数字内。然而,我不知道如何包括第三个,并将数字排列成N个子图(N等于第三个因素的水平数)。因此,我的目标是:
提前感谢~
马可
library(reshape)
library(agricolae)
library(lattice)
yr<-gl(10,3,90:99)
trt<-gl(4,75,labels=c("A","B","C","D"))
third<-gl(3,100,lables=c("T","P","Q")) ### The third factor to split the figure in to 4 subplots
dat<-cbind(runif(300),runif(300,min=1,max=10),runif(300,min=100,max=200),runif(300,min=1000,max=1500))
colnames(dat)<-paste("Item",1:4,sep="-")
fac<-factor(paste(trt,yr,sep="-"))
dataov<-aov(dat[,1]~fac)
dathsd<-sort_df(HSD.test(dataov,'fac'),'trt')
trtplt<-gl(3,10,30,labels=c("A","B","C"))
yrplt<-factor(substr(dathsd$trt,3,4))
prepanel.ci <- function(x, y, ly, uy, subscripts, ...)
{
x <- as.numeric(x)
ly <- as.numeric(ly[subscripts])
uy <- as.numeric(uy[subscripts])
list(ylim = range(y, uy, ly, finite = TRUE))
}
panel.ci <- function(x, y, ly, uy, subscripts, pch = 16, ...)
{
x <- as.numeric(x)
y <- as.numeric(y)
ly <- as.numeric(ly[subscripts])
uy <- as.numeric(uy[subscripts])
panel.arrows(x, ly, x, uy, col = "black",
length = 0.25, unit = "native",
angle = 90, code = 3)
panel.xyplot(x, y, pch = pch, ...)
}
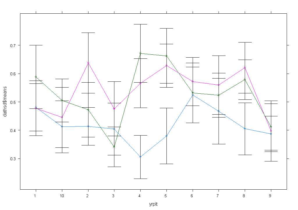
xyplot(dathsd$means~yrplt,group=trtplt,type=list("l","p"),
ly=dathsd$means-dathsd$std.err,
uy=dathsd$means+dathsd$std.err,
prepanel = prepanel.ci,
panel = panel.superpose,
panel.groups = panel.ci
)

好了!

发布于 2011-04-17 12:15:30
下面是另一种方法,使用ggplot的魔力。因为ggplot将为您计算摘要,所以我怀疑这意味着您可以跳过执行aov的整个步骤。
关键是您的数据应该在单个data.frame中,您可以将其传递给ggplot。请注意,我已经创建了新的示例数据来演示。
library(ggplot2)
df <- data.frame(
value = runif(300),
yr = rep(1:10, each=3),
trt = rep(LETTERS[1:4], each=75),
third = rep(c("T", "P", "Q"), each=100)
)
ggplot(df, aes(x=yr, y=value, colour=trt)) +
stat_summary(fun.y=mean, geom="line", size=2) +
stat_summary(fun.ymin=min, fun.ymax=max, geom="errorbar") +
facet_grid(~third)

您可以更进一步,在两个维度中生成方面:
ggplot(df, aes(x=yr, y=value, colour=trt)) +
stat_summary(fun.y=mean, geom="line", size=2) +
stat_summary(fun.ymin=min, fun.ymax=max, geom="errorbar") +
facet_grid(trt~third)

发布于 2011-04-17 09:34:56
这一点非常接近,但我忘记了如何使用格子中的group变量对错误行进行着色,而Deepayan的书正在起作用。
## format a new data structure with all variables we want
dat <- data.frame(dathsd[, c(2,5)], treat = trtplt, yrplt = yrplt,
upr = dathsd$means + 2 * dathsd$std.err,
lwr = dathsd$means - 2 * dathsd$std.err)
## compute ylims
ylims <- range(dat$lwr, dat$upr)
ylims <- ylims + (c(-1,1) * (0.05 * diff(ylims)))
## plot
xyplot(means ~ yrplt, data = dat, group = treat, lwr = dat$lwr, upr = dat$upr,
type = c("p","l"), ylim = ylims,
panel = function(x, y, lwr, upr, ...) {
panel.arrows(x0 = x, y0 = lwr, x1 = x, y1 = upr,
angle = 90, code = 3, length = 0.05)
panel.xyplot(x, y, ...)
})并产生:

https://stackoverflow.com/questions/5692428
复制相似问题