我正在查看从特定节点开始的图中唯一的x长度路径数。
但是,我有一个限制,即在任何路径上都不会访问超过一次的节点。
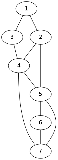
例如,以下面的图表为例:

如果我在从5开始的3条长路径的数目之后。
答案是9。
5 -> 2 -> 1 -> 3
5 -> 2 -> 4 -> 3
5 -> 2 -> 4 -> 7
5 -> 4 -> 2 -> 1
5 -> 4 -> 3 -> 1
5 -> 4 -> 7 -> 6
5 -> 6 -> 7 -> 4
5 -> 7 -> 4 -> 2
5 -> 7 -> 4 -> 3注意,我只与(9) 的答案一致,而不是特定的路径。
我尝试使用邻接矩阵来获得x的幂,以给出路径的数目,但我无法计算出如何考虑唯一的节点限制。
我也尝试过使用深度优先搜索,但是节点的数量和x的大小使得这是不可行的。
编辑:混淆DFS和BFS (谢谢你,尼龙微笑和尼基塔雷巴克)。
发布于 2011-02-08 02:56:05
这是NP难。
哈密顿路径的约简。
给定一个图,它的哈密顿路径存在,我们需要检查.
为每个顶点运行算法,路径长度为n-1。任何非零返回都对应哈密顿路径,反之亦然。
所以,基本上,如果你找到一个多项式时间算法来解决你的问题,那么你就有一个多项式时间算法来解决哈密顿路径问题,有效地证明了P=NP!
注意:这假设x是一个输入。
如果x是固定的(即与图中的顶点数无关),那么就有O(n^x)时间算法,它在P中,但对于中等大小的x仍然很不实用。
发布于 2011-02-09 15:06:03
这个问题是#P (解的数目)中的计数问题,而不是NP (是或否)中的决策问题。
白痴的减缩仍然在努力证明这个问题是#P-完全,因为Hamilton路径也是P-完全的。
https://stackoverflow.com/questions/4929090
复制相似问题