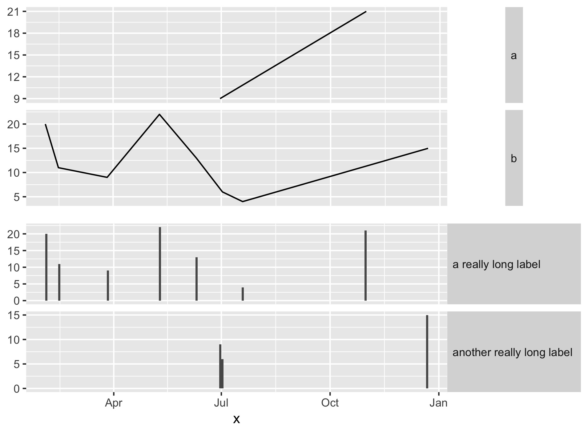
我有两个图表: FigA和FigB。都是小面包的。FigA是基于一个短的因子标签进行面化的,而FigB是基于一个更长的因子标签的。FigA和FigB共享一个x轴,因此我想要垂直显示它们(通过牛仔图),并将条形标签定位在绘图的右侧,并使用水平文本。
这导致在FigA的短条标签周围留下了大量的空白。

什么是最好的方式格式化条形标签背景,以便他们扩大,以填补可用的水平空间?
我一直在玩弄strip.background和strip.text的利润率、大小和其他参数,但到目前为止还没有产生预期的结果。我漏掉了什么明显的东西吗?
下面是一个最小的例子
(我意识到我可以用这个简单的例子来pivot_longer并生成一个图表,但是是否有一种方法可以直接修改条形标签以适应更复杂的情况):
library(tidyverse)
library(cowplot)
df <- data.frame( shortCat = sample(c('a','b'), 10, replace=TRUE),
longCat = sample(c('a really long label','another really long label'), 10, replace=TRUE),
x = sample(seq(as.Date('2020/01/01'), as.Date('2020/12/31'), by="day"), 10),
y = sample(0:25, 10, replace = TRUE) )
figA <- df %>% ggplot( aes(x=x,y=y) ) +
geom_line() +
facet_wrap(vars(shortCat), ncol=1, strip.position ="right", scales="free_y") +
theme( axis.title.y=element_blank(),
axis.title.x=element_blank(),
axis.text.x=element_blank(),
axis.ticks.x=element_blank(),
strip.text.y.right = element_text(angle = 0, hjust=0) )
figB <- df %>% ggplot( aes(x=x,y=y) ) +
geom_bar(stat="identity") +
facet_wrap(vars(longCat), ncol=1, strip.position ="right", scales="free_y") +
theme( axis.title.y=element_blank(),
strip.text.y.right = element_text(angle = 0, hjust=0) )
plot_grid(figA,figB, ncol=1, align="v")发布于 2021-09-06 16:57:05
对于需要叠加两个单独的地块的情况,这里有一种匹配条带宽度的方法:
ggtext包,它允许我们在单个条形标签中有多个文本颜色(使用html标签)。library(tidyverse)
library(patchwork) # For plot layout
library(ggtext) # For multiple text colors in strip labels
theme_set(theme_bw())
set.seed(2)
df <- data.frame(shortCat = sample(c('a','b'), 10, replace=TRUE),
longCat = sample(c('a really long label','another really long label'), 10, replace=TRUE),
x = sample(seq(as.Date('2020/01/01'), as.Date('2020/12/31'), by="day"), 10),
y = sample(0:25, 10, replace = TRUE) )
# Test method's robustness by making labels of different lengths
df = df %>%
mutate(shortCat2 = gsub("b", "medium label", shortCat))
# Get text of longest label
pad = df$longCat[which.max(nchar(df$longCat))]
# Get colour of strip background
txt.col = theme_get()$strip.background$fill
# Set padding text to same colour as background, so it will be invisible
# (you can set the color to "white" for a visual confirmation of what this does)
df$shortCat2 = paste0(df$shortCat2, "<span style = 'color:",txt.col,";'><br>", pad ,"</span>")
figA = df %>%
ggplot( aes(x=x,y=y) ) +
geom_line() +
facet_wrap(vars(shortCat2), ncol=1, strip.position ="right", scales="free_y") +
theme(axis.title.y=element_blank(),
axis.title.x=element_blank(),
axis.text.x=element_blank(),
axis.ticks.x=element_blank(),
strip.text.y=element_textbox())
figA / figB

下面是另一种方法,我们在其中添加空白,将条形标签扩展到所需的宽度。它需要一个单空间字体,这使得它不那么灵活,但它不需要使用html标记,就像在前面的方法中一样。
# Identify monospaced fonts on your system
fonts = systemfonts::system_fonts()
fonts %>% filter(monospace) %>% pull(name)
#> [1] "Menlo-Bold" "Courier-Oblique"
#> [3] "Courier-BoldOblique" "AppleBraille"
#> [5] "AppleBraille-Pinpoint8Dot" "AndaleMono"
#> [7] "Menlo-BoldItalic" "Menlo-Regular"
#> [9] "CourierNewPS-BoldMT" "AppleBraille-Outline6Dot"
#> [11] "GB18030Bitmap" "Monaco"
#> [13] "AppleBraille-Outline8Dot" "PTMono-Regular"
#> [15] "PTMono-Bold" "AppleColorEmoji"
#> [17] "Menlo-Italic" "CourierNewPS-ItalicMT"
#> [19] "Courier" "Courier-Bold"
#> [21] "CourierNewPSMT" "AppleBraille-Pinpoint6Dot"
#> [23] "CourierNewPS-BoldItalicMT"
# Set theme to use a monospace font
theme_set(theme_bw() +
theme(text=element_text(family="Menlo-Regular")))
figA <- df %>%
mutate(shortCat = paste0(shortCat,
paste(rep(" ", max(nchar(longCat)) - 1), collapse=""))
) %>%
ggplot( aes(x=x,y=y) ) +
geom_line() +
facet_wrap(vars(shortCat), ncol=1, strip.position ="right", scales="free_y") +
theme(axis.title.y=element_blank(),
axis.title.x=element_blank(),
axis.text.x=element_blank(),
axis.ticks.x=element_blank(),
strip.text.y.right = element_text(angle = 0, hjust=0))
figB <- df %>% ggplot( aes(x=x,y=y) ) +
geom_line() +
facet_wrap(vars(longCat), ncol=1, strip.position ="right", scales="free_y") +
theme( axis.title.y=element_blank(),
strip.text.y.right = element_text(angle = 0, hjust=0) )
figA / figB

如果您可以将数据重新格式化为长格式并绘制一个单独的图,那么这是最简单的方法:
theme_set(theme_bw())
df %>%
pivot_longer(matches("Cat")) %>%
mutate(value = fct_relevel(value, "a", "b")) %>%
ggplot(aes(x,y)) +
geom_line() +
facet_wrap(~value, ncol=1, strip.position="right") +
theme(strip.text.y=element_text(angle=0, hjust=0))

https://stackoverflow.com/questions/69077592
复制相似问题