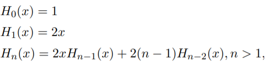
Hermite多项式由下列公式定义,其中n>0和x是实数:

我已经使用递归定义了一个解决方案:
int hermitPolynomial(int n, int x){
if(n == 0){
return 1;
}
if (n == 1){
return x*2;
}
return 2*x*hermitPolynomial(n-1,x) + 2*(n-1)*hermitPolynomial(n-2,x);
} 如何使用堆栈将函数转换为迭代解决方案?另外,使用堆栈将递归转换为迭代函数的基础是什么?
我设法将难度较小的递归(如Fibonacci)转换为迭代堆栈解决方案。
这是我尝试过的解决方案,但我没有想到一种跟踪"2x“和”2(n-1)“的方法:
int hermitPolynomialIter(int n, int x){
std::stack<int> s;
int result = 0;
s.push(n);
while(!s.empty()){
int temp = s.top(); s.pop();
if(temp == 1){
result+=1;
}
else if(temp == 2){
result+=2*x;
}
else{
s.push(temp-1);
s.push(temp-2);
}
}
return result;
}发布于 2021-08-03 20:19:11
首先,让我注意到递推公式是
H_n(x) = 2xH_{n-1}(x) - 2(n-1)H_{n-2}(x)(注意减号)。
这是一个解决方案,连同计算x=1和x=2上的第一个多项式的一个小测试。
#include <stack>
#include <iostream>
int hermitePolynomial(int n, int x)
{
std::stack<int> s;
if (n == 0)
{
return 1;
}
else if (n == 1)
{
return 2 * x;
}
else
{
s.push(1);
s.push(2 * x);
for (int k = 2; k <= n; ++k)
{
auto hermite_k_minus_1 = s.top();
s.pop();
auto hermite_k_minus_2 = s.top();
s.pop();
auto hermite_k = 2 * x * hermite_k_minus_1 - 2 * (k - 1) * hermite_k_minus_2;
s.push(hermite_k_minus_1);
s.push(hermite_k);
}
return s.top();
}
}
int main()
{
for (const int x : { 1, 2 })
{
std::cout << "Polynomials at x = " << x << std::endl;
for (int i = 0; i < 5; ++i)
std::cout << "H_" << i << "(" << x << ") = " << hermitePolynomial(i, x) << std::endl;
}
return 0;
}看吧,住在Coliru。
其主要思想是在循环上迭代计算k-多项式,并在堆栈中保留2个最后多项式,即指数k-1和k-2的多项式。
发布于 2021-08-03 20:07:56
提示:
注意,递归公式将Hn表示为前面的两个计算(即Hn-1和Hn-2)。因此,您可以只使用保存这些评估的两个变量(让H1和H2)来执行它,并在增加n时转移它们。
循环体读取
H0= 2 * X * H1 + 2 * (N-1) * H2;
H2= H1;
H1= H0;
N++;以下不变量将保持不变:H1 = Hn-1 and H2 = Hn-2,用于所有迭代。
我让您了解如何初始化变量H0、H1和H2 (考虑N=2)。
https://stackoverflow.com/questions/68641883
复制相似问题