我有一个雨云图:

但是,我希望TL组和yr的每一个组合都是不同的颜色,就像人们在基盒图()中所做的那样:

我尝试使用以下代码来绘制雨云图:
Y_C_rain= ggplot(yct_rain, aes(y=d13C, x=lengthcat,fill = yr,color=yr)) +
geom_flat_violin(position = position_nudge(x = .2, y =0), alpha = .8)+
geom_point(aes(y = , color = yr),
position = position_jitter(width = .05), size = 2, alpha = .5) +
geom_boxplot(width = .3, guides = FALSE, outlier.shape = NA, alpha = 0, notch = FALSE) +
stat_summary(fun= mean, geom = "point", shape = 21, size = 3, fill = "black") +
scale_y_continuous (limits = c(-35,-10),expand = c(0,0),breaks=seq(-35,-10,5)) +
ylab("d13C") + xlab("TL group") +
ggtitle("YCT d13C") +
theme_bw() +
scale_colour_discrete(my_clrs_yct)+
scale_fill_discrete(my_clrs_yct)
Y_C_rain我知道雨图中的颜色需要用scale_fill_xxx的一些变体编码,但是我碰到了一个路障,因为似乎每个点都需要有自己的颜色。因此,只列出6种颜色的scale_fill_xxx的变化是不起作用的。
发布于 2020-12-30 01:46:12
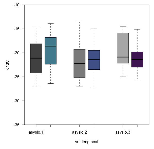
你想要这样的东西吗?
library(dplyr)
library(data.table)
library(ggplot2)
# used geom_flat_violin from https://gist.github.com/dgrtwo/eb7750e74997891d7c20
my_clrs_yct <- c("#404040", "#407a8c", "#7a7a7a", "#404f86", "#a6a6a6", "#3e1451")
## used storms from dplyr as reproducible example
data("storms")
setDT(storms)
storms[, season:= factor(ifelse(month <=6, "Q12", "Q34"))]
ggplot(storms, aes(x=status, y=pressure, color=interaction(status, season),
fill=interaction(status, season))) +
geom_point(aes(color = interaction(status, season)),
position = position_jitterdodge(
jitter.width=.1, dodge.width=.25), size = 2, alpha = .5)+
geom_flat_violin(position = position_nudge(x = .5, y =0), alpha = .5)+
geom_boxplot(width = .3, guides = FALSE, outlier.shape = NA, alpha = 0)+
stat_summary(fun = mean, geom = "point", shape = 21, size = 3,
fill = "black", position = position_nudge(x = c(-.075,.075), y =0)) +
theme_bw() +
scale_colour_manual(values=my_clrs_yct) +
scale_fill_manual(values=my_clrs_yct)

https://stackoverflow.com/questions/65500657
复制相似问题