根植于顶点的任何DFS (深度优先搜索)树的深度至少与根植于同一顶点的任何BFS树的深度相同。对还是错?
我不明白这句话意味着什么?它要求的是堆栈深度吗?
请用这个例子解释
发布于 2020-06-19 07:58:41
搜索树的深度是从根到叶的最长路径的长度(以边数表示)。
问题是让您比较两种搜索算法,DFS和BFS,更具体地说,它们的搜索树是从同一个顶点开始的。
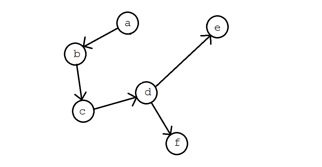
下面是一个示例图(它是无向的):

假设选定的根顶点是"a“。我们可以想象一个DFS按以下顺序访问顶点:a。在e,没有更多的邻居还没有被访问,所以DFS算法返回到d,然后扩展到f,然后又一直回溯到根,却发现没有其他的顶点可访问。
因此,DFS的搜索树是:

最长的路径有4条边,所以我们说这个搜索树的深度是4:
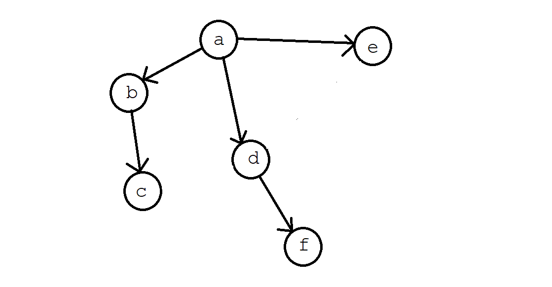
让我们使用BFS进行搜索。在第一轮中,所有的邻居都会被拜访:
然后将这些路径中的每一条扩展到尚未被访问的相邻顶点:
在e,没有更多的扩展可能。已经访问了所有的顶点。BFS搜索树如下:

因此,BFS找到了这些路径,其中最长的有2条边,因此搜索树的深度为2:
因此,在这种情况下,DFS搜索树的深度大于BFS搜索树的深度。
您应该证明,BFS搜索树永远不会比DFS搜索树更深的情况(对于相同的图和相同的起始顶点)。
发布于 2020-06-19 03:50:27
树的深度。意思是从树根到另一个节点的最短路径的最大长度。
https://stackoverflow.com/questions/62462938
复制相似问题