如何使用ggtext给一个五颜六色的标题?
示例
假设我们有四个地块
library(ggplot2)
library(patchwork)
library(ggtext)
p1 <- ggplot(mtcars) +
geom_point(aes(mpg, disp)) +
ggtitle('Plot 1')
p2 <- ggplot(mtcars) +
geom_boxplot(aes(gear, disp, group = gear)) +
ggtitle('Plot 2')
p3 <- ggplot(mtcars) +
geom_point(aes(hp, wt, colour = mpg)) +
ggtitle('Plot 3')
p4 <- ggplot(mtcars) +
geom_bar(aes(gear)) +
facet_wrap(~cyl) +
ggtitle('Plot 4')这些可以安排成这样
patch <- (p1 + p2) / (p3 + p4)
patch

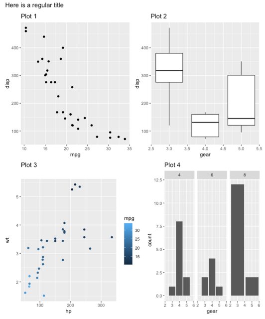
这种拼贴可以被冠以如下的标题
patch +
plot_annotation(
title = "Here is a regular title")

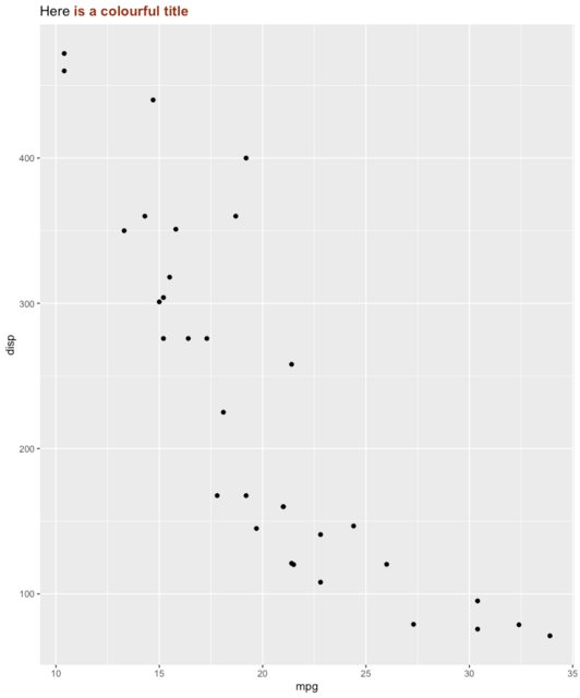
一个单独的格格图可以被赋予这样一个五颜六色的标题。
p1 +
ggtitle("Here <span style='color:#953011;'><strong>is a colourful title</strong></span>") +
theme(plot.title = element_markdown(lineheight = 1.1))

如何才能给这些杂乱无章的情节起一个丰富多彩的标题。以下是我失败的尝试
patch +
plot_annotation(
title = "Here<span style='color:#953011;'><strong>is a colourful title</strong></span>") +
theme(plot.title = element_markdown(lineheight = 1.1))

发布于 2020-05-06 18:38:43
plot_annotation有一个theme参数,所以您可以
#remotes::install_github("wilkelab/ggtext")
library(ggplot2)
library(patchwork)
library(ggtext)
patch <- (p1 + p2)
patch +
plot_annotation(
title = "Here <span style='color:#953011;'><strong>is a colourful title</strong></span>",
theme = theme(plot.title = element_markdown(lineheight = 1.1)))

https://stackoverflow.com/questions/61642489
复制相似问题