我试图找到马尔可夫链的平稳分布。我有一个转移概率矩阵(TPM)。以下是代码:
[V, D] = eigs(double(TPM'),1);
Py = abs(V)/sum(V);我的问题是,sum(V) < 0,它给出了向量Py中的一些负值。我使用另一个概率矩阵测试了代码,它给出了sum(V) > 0。
我不知道问题是什么,是TPM还是我正在使用的代码?
编辑:
下面是代码的“详细说明”版本(包括"SecretAgentMan“的答案,参见方法3):
function [Py1, Py2, Py3] = testStatDist(TPM)
% method 1
[V1, D1] = eigs(double(TPM'),1);
% method 2
[V2, D2] = iterator(TPM);
% method 3
V3 = null(eye(size(TPM))-TPM.');
if(abs(D1 - 1) > 1e-5)
warning(0, 'testStatDist.m: Check Transition Matrix');
exit;
end
if(abs(D2 - 1) > 1e-5)
warning(0, 'testStatDist.m: Check Transition Matrix');
exit;
end
% res 1
Py1 = abs(V1)/sum(V1);
% res 2
Py2 = abs(V2)/sum(V2);
% res 3
Py3 = abs(V3)/sum(V3);
end下面是“迭代器”函数:
function [V, D] = iterator(TPM)
pi(1:length(TPM)) = 1/length(TPM);
error = 1;
budget = 1000;
while(error >= 1e-10)
pi2 = pi*TPM;
error = sum((pi - pi2).^2);
pi = pi2;
budget = budget - 1;
if(budget == 0)
break;
end
end
V = pi';
D = 1;以下是我所使用的其中一项城市规划措施:
TPM = [0.987665198237886 0.000220264317180617 0.000440528634361233 0.000660792951541850 0.0110132158590308 0 0 0 0 0 0 0 0 0 0 0 0 0 0 0 0 0 0 0 0 0 0 0 0 0 0 0 0 0 0 0 0 0 0 0 0 0 0 0 0 0 0 0 0 0 0 0 0 0 0 0 0 0 0 0 0 0 0 0 0 0 0 0 0 0 0 0 0 0 0 0 0 0 0 0 0 0 0 0
0.000881057268722467 0.985682819383260 0.00110132158590308 0.00132158590308370 0 0.0110132158590308 0 0 0 0 0 0 0 0 0 0 0 0 0 0 0 0 0 0 0 0 0 0 0 0 0 0 0 0 0 0 0 0 0 0 0 0 0 0 0 0 0 0 0 0 0 0 0 0 0 0 0 0 0 0 0 0 0 0 0 0 0 0 0 0 0 0 0 0 0 0 0 0 0 0 0 0 0 0
0.00154185022026432 0.00176211453744493 0.983700440528634 0.00198237885462555 0 0 0.0110132158590308 0 0 0 0 0 0 0 0 0 0 0 0 0 0 0 0 0 0 0 0 0 0 0 0 0 0 0 0 0 0 0 0 0 0 0 0 0 0 0 0 0 0 0 0 0 0 0 0 0 0 0 0 0 0 0 0 0 0 0 0 0 0 0 0 0 0 0 0 0 0 0 0 0 0 0 0 0
0 0 0 0.988986784140969 0 0 0 0.0110132158590308 0 0 0 0 0 0 0 0 0 0 0 0 0 0 0 0 0 0 0 0 0 0 0 0 0 0 0 0 0 0 0 0 0 0 0 0 0 0 0 0 0 0 0 0 0 0 0 0 0 0 0 0 0 0 0 0 0 0 0 0 0 0 0 0 0 0 0 0 0 0 0 0 0 0 0 0
0.00440528634361233 0 0 0 0.983259911894273 0.000220264317180617 0.000440528634361233 0.000660792951541850 0.0110132158590308 0 0 0 0 0 0 0 0 0 0 0 0 0 0 0 0 0 0 0 0 0 0 0 0 0 0 0 0 0 0 0 0 0 0 0 0 0 0 0 0 0 0 0 0 0 0 0 0 0 0 0 0 0 0 0 0 0 0 0 0 0 0 0 0 0 0 0 0 0 0 0 0 0 0 0
0 0.00440528634361233 0 0 0.000881057268722467 0.981277533039648 0.00110132158590308 0.00132158590308370 0 0.0110132158590308 0 0 0 0 0 0 0 0 0 0 0 0 0 0 0 0 0 0 0 0 0 0 0 0 0 0 0 0 0 0 0 0 0 0 0 0 0 0 0 0 0 0 0 0 0 0 0 0 0 0 0 0 0 0 0 0 0 0 0 0 0 0 0 0 0 0 0 0 0 0 0 0 0 0
0 0 0.00440528634361233 0 0.00154185022026432 0.00176211453744493 0.979295154185022 0.00198237885462555 0 0 0.0110132158590308 0 0 0 0 0 0 0 0 0 0 0 0 0 0 0 0 0 0 0 0 0 0 0 0 0 0 0 0 0 0 0 0 0 0 0 0 0 0 0 0 0 0 0 0 0 0 0 0 0 0 0 0 0 0 0 0 0 0 0 0 0 0 0 0 0 0 0 0 0 0 0 0 0
0 0 0 0.00440528634361233 0 0 0 0.984581497797357 0 0 0 0.0110132158590308 0 0 0 0 0 0 0 0 0 0 0 0 0 0 0 0 0 0 0 0 0 0 0 0 0 0 0 0 0 0 0 0 0 0 0 0 0 0 0 0 0 0 0 0 0 0 0 0 0 0 0 0 0 0 0 0 0 0 0 0 0 0 0 0 0 0 0 0 0 0 0 0
0 0 0 0 0.00881057268722467 0 0 0 0.978854625550661 0.000220264317180617 0.000440528634361233 0.000660792951541850 0.0110132158590308 0 0 0 0 0 0 0 0 0 0 0 0 0 0 0 0 0 0 0 0 0 0 0 0 0 0 0 0 0 0 0 0 0 0 0 0 0 0 0 0 0 0 0 0 0 0 0 0 0 0 0 0 0 0 0 0 0 0 0 0 0 0 0 0 0 0 0 0 0 0 0
0 0 0 0 0 0.00881057268722467 0 0 0.000881057268722467 0.976872246696035 0.00110132158590308 0.00132158590308370 0 0.0110132158590308 0 0 0 0 0 0 0 0 0 0 0 0 0 0 0 0 0 0 0 0 0 0 0 0 0 0 0 0 0 0 0 0 0 0 0 0 0 0 0 0 0 0 0 0 0 0 0 0 0 0 0 0 0 0 0 0 0 0 0 0 0 0 0 0 0 0 0 0 0 0
0 0 0 0 0 0 0.00881057268722467 0 0.00154185022026432 0.00176211453744493 0.974889867841410 0.00198237885462555 0 0 0.0110132158590308 0 0 0 0 0 0 0 0 0 0 0 0 0 0 0 0 0 0 0 0 0 0 0 0 0 0 0 0 0 0 0 0 0 0 0 0 0 0 0 0 0 0 0 0 0 0 0 0 0 0 0 0 0 0 0 0 0 0 0 0 0 0 0 0 0 0 0 0 0
0 0 0 0 0 0 0 0.00881057268722467 0 0 0 0.980176211453745 0 0 0 0.0110132158590308 0 0 0 0 0 0 0 0 0 0 0 0 0 0 0 0 0 0 0 0 0 0 0 0 0 0 0 0 0 0 0 0 0 0 0 0 0 0 0 0 0 0 0 0 0 0 0 0 0 0 0 0 0 0 0 0 0 0 0 0 0 0 0 0 0 0 0 0
0 0 0 0 0 0 0 0 0.0132158590308370 0 0 0 0.974449339207049 0.000220264317180617 0.000440528634361233 0.000660792951541850 0.0110132158590308 0 0 0 0 0 0 0 0 0 0 0 0 0 0 0 0 0 0 0 0 0 0 0 0 0 0 0 0 0 0 0 0 0 0 0 0 0 0 0 0 0 0 0 0 0 0 0 0 0 0 0 0 0 0 0 0 0 0 0 0 0 0 0 0 0 0 0
0 0 0 0 0 0 0 0 0 0.0132158590308370 0 0 0.000881057268722467 0.972466960352423 0.00110132158590308 0.00132158590308370 0 0.0110132158590308 0 0 0 0 0 0 0 0 0 0 0 0 0 0 0 0 0 0 0 0 0 0 0 0 0 0 0 0 0 0 0 0 0 0 0 0 0 0 0 0 0 0 0 0 0 0 0 0 0 0 0 0 0 0 0 0 0 0 0 0 0 0 0 0 0 0
0 0 0 0 0 0 0 0 0 0 0.0132158590308370 0 0.00154185022026432 0.00176211453744493 0.970484581497797 0.00198237885462555 0 0 0.0110132158590308 0 0 0 0 0 0 0 0 0 0 0 0 0 0 0 0 0 0 0 0 0 0 0 0 0 0 0 0 0 0 0 0 0 0 0 0 0 0 0 0 0 0 0 0 0 0 0 0 0 0 0 0 0 0 0 0 0 0 0 0 0 0 0 0 0
0 0 0 0 0 0 0 0 0 0 0 0.0132158590308370 0 0 0 0.975770925110132 0 0 0 0.0110132158590308 0 0 0 0 0 0 0 0 0 0 0 0 0 0 0 0 0 0 0 0 0 0 0 0 0 0 0 0 0 0 0 0 0 0 0 0 0 0 0 0 0 0 0 0 0 0 0 0 0 0 0 0 0 0 0 0 0 0 0 0 0 0 0 0
0 0 0 0 0 0 0 0 0 0 0 0 0.0176211453744493 0 0 0 0.970044052863436 0.000220264317180617 0.000440528634361233 0.000660792951541850 0.0110132158590308 0 0 0 0 0 0 0 0 0 0 0 0 0 0 0 0 0 0 0 0 0 0 0 0 0 0 0 0 0 0 0 0 0 0 0 0 0 0 0 0 0 0 0 0 0 0 0 0 0 0 0 0 0 0 0 0 0 0 0 0 0 0 0
0 0 0 0 0 0 0 0 0 0 0 0 0 0.0176211453744493 0 0 0.000881057268722467 0.968061674008811 0.00110132158590308 0.00132158590308370 0 0.0110132158590308 0 0 0 0 0 0 0 0 0 0 0 0 0 0 0 0 0 0 0 0 0 0 0 0 0 0 0 0 0 0 0 0 0 0 0 0 0 0 0 0 0 0 0 0 0 0 0 0 0 0 0 0 0 0 0 0 0 0 0 0 0 0
0 0 0 0 0 0 0 0 0 0 0 0 0 0 0.0176211453744493 0 0.00154185022026432 0.00176211453744493 0.966079295154185 0.00198237885462555 0 0 0.0110132158590308 0 0 0 0 0 0 0 0 0 0 0 0 0 0 0 0 0 0 0 0 0 0 0 0 0 0 0 0 0 0 0 0 0 0 0 0 0 0 0 0 0 0 0 0 0 0 0 0 0 0 0 0 0 0 0 0 0 0 0 0 0
0 0 0 0 0 0 0 0 0 0 0 0 0 0 0 0.0176211453744493 0 0 0 0.971365638766520 0 0 0 0.0110132158590308 0 0 0 0 0 0 0 0 0 0 0 0 0 0 0 0 0 0 0 0 0 0 0 0 0 0 0 0 0 0 0 0 0 0 0 0 0 0 0 0 0 0 0 0 0 0 0 0 0 0 0 0 0 0 0 0 0 0 0 0
0 0 0 0 0 0 0 0 0 0 0 0 0 0 0 0 0.0220264317180617 0 0 0 0.965638766519824 0.000220264317180617 0.000440528634361233 0.000660792951541850 0.0110132158590308 0 0 0 0 0 0 0 0 0 0 0 0 0 0 0 0 0 0 0 0 0 0 0 0 0 0 0 0 0 0 0 0 0 0 0 0 0 0 0 0 0 0 0 0 0 0 0 0 0 0 0 0 0 0 0 0 0 0 0
0 0 0 0 0 0 0 0 0 0 0 0 0 0 0 0 0 0.0220264317180617 0 0 0.000881057268722467 0.963656387665198 0.00110132158590308 0.00132158590308370 0 0.0110132158590308 0 0 0 0 0 0 0 0 0 0 0 0 0 0 0 0 0 0 0 0 0 0 0 0 0 0 0 0 0 0 0 0 0 0 0 0 0 0 0 0 0 0 0 0 0 0 0 0 0 0 0 0 0 0 0 0 0 0
0 0 0 0 0 0 0 0 0 0 0 0 0 0 0 0 0 0 0.0220264317180617 0 0.00154185022026432 0.00176211453744493 0.961674008810573 0.00198237885462555 0 0 0.0110132158590308 0 0 0 0 0 0 0 0 0 0 0 0 0 0 0 0 0 0 0 0 0 0 0 0 0 0 0 0 0 0 0 0 0 0 0 0 0 0 0 0 0 0 0 0 0 0 0 0 0 0 0 0 0 0 0 0 0
0 0 0 0 0 0 0 0 0 0 0 0 0 0 0 0 0 0 0 0.0220264317180617 0 0 0 0.966960352422908 0 0 0 0.0110132158590308 0 0 0 0 0 0 0 0 0 0 0 0 0 0 0 0 0 0 0 0 0 0 0 0 0 0 0 0 0 0 0 0 0 0 0 0 0 0 0 0 0 0 0 0 0 0 0 0 0 0 0 0 0 0 0 0
0 0 0 0 0 0 0 0 0 0 0 0 0 0 0 0 0 0 0 0 0.0264317180616740 0 0 0 0.961233480176212 0.000220264317180617 0.000440528634361233 0.000660792951541850 0.0110132158590308 0 0 0 0 0 0 0 0 0 0 0 0 0 0 0 0 0 0 0 0 0 0 0 0 0 0 0 0 0 0 0 0 0 0 0 0 0 0 0 0 0 0 0 0 0 0 0 0 0 0 0 0 0 0 0
0 0 0 0 0 0 0 0 0 0 0 0 0 0 0 0 0 0 0 0 0 0.0264317180616740 0 0 0.000881057268722467 0.959251101321586 0.00110132158590308 0.00132158590308370 0 0.0110132158590308 0 0 0 0 0 0 0 0 0 0 0 0 0 0 0 0 0 0 0 0 0 0 0 0 0 0 0 0 0 0 0 0 0 0 0 0 0 0 0 0 0 0 0 0 0 0 0 0 0 0 0 0 0 0
0 0 0 0 0 0 0 0 0 0 0 0 0 0 0 0 0 0 0 0 0 0 0.0264317180616740 0 0.00154185022026432 0.00176211453744493 0.957268722466960 0.00198237885462555 0 0 0.0110132158590308 0 0 0 0 0 0 0 0 0 0 0 0 0 0 0 0 0 0 0 0 0 0 0 0 0 0 0 0 0 0 0 0 0 0 0 0 0 0 0 0 0 0 0 0 0 0 0 0 0 0 0 0 0
0 0 0 0 0 0 0 0 0 0 0 0 0 0 0 0 0 0 0 0 0 0 0 0.0264317180616740 0 0 0 0.962555066079295 0 0 0 0.0110132158590308 0 0 0 0 0 0 0 0 0 0 0 0 0 0 0 0 0 0 0 0 0 0 0 0 0 0 0 0 0 0 0 0 0 0 0 0 0 0 0 0 0 0 0 0 0 0 0 0 0 0 0 0
0 0 0 0 0 0 0 0 0 0 0 0 0 0 0 0 0 0 0 0 0 0 0 0 0.0308370044052863 0 0 0 0.956828193832599 0.000220264317180617 0.000440528634361233 0.000660792951541850 0.0110132158590308 0 0 0 0 0 0 0 0 0 0 0 0 0 0 0 0 0 0 0 0 0 0 0 0 0 0 0 0 0 0 0 0 0 0 0 0 0 0 0 0 0 0 0 0 0 0 0 0 0 0 0
0 0 0 0 0 0 0 0 0 0 0 0 0 0 0 0 0 0 0 0 0 0 0 0 0 0.0308370044052863 0 0 0.000881057268722467 0.954845814977974 0.00110132158590308 0.00132158590308370 0 0.0110132158590308 0 0 0 0 0 0 0 0 0 0 0 0 0 0 0 0 0 0 0 0 0 0 0 0 0 0 0 0 0 0 0 0 0 0 0 0 0 0 0 0 0 0 0 0 0 0 0 0 0 0
0 0 0 0 0 0 0 0 0 0 0 0 0 0 0 0 0 0 0 0 0 0 0 0 0 0 0.0308370044052863 0 0.00154185022026432 0.00176211453744493 0.952863436123348 0.00198237885462555 0 0 0.0110132158590308 0 0 0 0 0 0 0 0 0 0 0 0 0 0 0 0 0 0 0 0 0 0 0 0 0 0 0 0 0 0 0 0 0 0 0 0 0 0 0 0 0 0 0 0 0 0 0 0 0
0 0 0 0 0 0 0 0 0 0 0 0 0 0 0 0 0 0 0 0 0 0 0 0 0 0 0 0.0308370044052863 0 0 0 0.958149779735683 0 0 0 0.0110132158590308 0 0 0 0 0 0 0 0 0 0 0 0 0 0 0 0 0 0 0 0 0 0 0 0 0 0 0 0 0 0 0 0 0 0 0 0 0 0 0 0 0 0 0 0 0 0 0 0
0 0 0 0 0 0 0 0 0 0 0 0 0 0 0 0 0 0 0 0 0 0 0 0 0 0 0 0 0.0352422907488987 0 0 0 0.952422907488987 0.000220264317180617 0.000440528634361233 0.000660792951541850 0.0110132158590308 0 0 0 0 0 0 0 0 0 0 0 0 0 0 0 0 0 0 0 0 0 0 0 0 0 0 0 0 0 0 0 0 0 0 0 0 0 0 0 0 0 0 0 0 0 0 0
0 0 0 0 0 0 0 0 0 0 0 0 0 0 0 0 0 0 0 0 0 0 0 0 0 0 0 0 0 0.0352422907488987 0 0 0.000881057268722467 0.950440528634361 0.00110132158590308 0.00132158590308370 0 0.0110132158590308 0 0 0 0 0 0 0 0 0 0 0 0 0 0 0 0 0 0 0 0 0 0 0 0 0 0 0 0 0 0 0 0 0 0 0 0 0 0 0 0 0 0 0 0 0 0
0 0 0 0 0 0 0 0 0 0 0 0 0 0 0 0 0 0 0 0 0 0 0 0 0 0 0 0 0 0 0.0352422907488987 0 0.00154185022026432 0.00176211453744493 0.948458149779736 0.00198237885462555 0 0 0.0110132158590308 0 0 0 0 0 0 0 0 0 0 0 0 0 0 0 0 0 0 0 0 0 0 0 0 0 0 0 0 0 0 0 0 0 0 0 0 0 0 0 0 0 0 0 0 0
0 0 0 0 0 0 0 0 0 0 0 0 0 0 0 0 0 0 0 0 0 0 0 0 0 0 0 0 0 0 0 0.0352422907488987 0 0 0 0.953744493392071 0 0 0 0.0110132158590308 0 0 0 0 0 0 0 0 0 0 0 0 0 0 0 0 0 0 0 0 0 0 0 0 0 0 0 0 0 0 0 0 0 0 0 0 0 0 0 0 0 0 0 0
0 0 0 0 0 0 0 0 0 0 0 0 0 0 0 0 0 0 0 0 0 0 0 0 0 0 0 0 0 0 0 0 0.0396475770925110 0 0 0 0.948017621145375 0.000220264317180617 0.000440528634361233 0.000660792951541850 0.0110132158590308 0 0 0 0 0 0 0 0 0 0 0 0 0 0 0 0 0 0 0 0 0 0 0 0 0 0 0 0 0 0 0 0 0 0 0 0 0 0 0 0 0 0 0
0 0 0 0 0 0 0 0 0 0 0 0 0 0 0 0 0 0 0 0 0 0 0 0 0 0 0 0 0 0 0 0 0 0.0396475770925110 0 0 0.000881057268722467 0.946035242290749 0.00110132158590308 0.00132158590308370 0 0.0110132158590308 0 0 0 0 0 0 0 0 0 0 0 0 0 0 0 0 0 0 0 0 0 0 0 0 0 0 0 0 0 0 0 0 0 0 0 0 0 0 0 0 0 0
0 0 0 0 0 0 0 0 0 0 0 0 0 0 0 0 0 0 0 0 0 0 0 0 0 0 0 0 0 0 0 0 0 0 0.0396475770925110 0 0.00154185022026432 0.00176211453744493 0.944052863436123 0.00198237885462555 0 0 0.0110132158590308 0 0 0 0 0 0 0 0 0 0 0 0 0 0 0 0 0 0 0 0 0 0 0 0 0 0 0 0 0 0 0 0 0 0 0 0 0 0 0 0 0
0 0 0 0 0 0 0 0 0 0 0 0 0 0 0 0 0 0 0 0 0 0 0 0 0 0 0 0 0 0 0 0 0 0 0 0.0396475770925110 0 0 0 0.949339207048458 0 0 0 0.0110132158590308 0 0 0 0 0 0 0 0 0 0 0 0 0 0 0 0 0 0 0 0 0 0 0 0 0 0 0 0 0 0 0 0 0 0 0 0 0 0 0 0
0 0 0 0 0 0 0 0 0 0 0 0 0 0 0 0 0 0 0 0 0 0 0 0 0 0 0 0 0 0 0 0 0 0 0 0 0.0440528634361234 0 0 0 0.943612334801762 0.000220264317180617 0.000440528634361233 0.000660792951541850 0.0110132158590308 0 0 0 0 0 0 0 0 0 0 0 0 0 0 0 0 0 0 0 0 0 0 0 0 0 0 0 0 0 0 0 0 0 0 0 0 0 0 0
0 0 0 0 0 0 0 0 0 0 0 0 0 0 0 0 0 0 0 0 0 0 0 0 0 0 0 0 0 0 0 0 0 0 0 0 0 0.0440528634361234 0 0 0.000881057268722467 0.941629955947137 0.00110132158590308 0.00132158590308370 0 0.0110132158590308 0 0 0 0 0 0 0 0 0 0 0 0 0 0 0 0 0 0 0 0 0 0 0 0 0 0 0 0 0 0 0 0 0 0 0 0 0 0
0 0 0 0 0 0 0 0 0 0 0 0 0 0 0 0 0 0 0 0 0 0 0 0 0 0 0 0 0 0 0 0 0 0 0 0 0 0 0.0440528634361234 0 0.00154185022026432 0.00176211453744493 0.939647577092511 0.00198237885462555 0 0 0.0110132158590308 0 0 0 0 0 0 0 0 0 0 0 0 0 0 0 0 0 0 0 0 0 0 0 0 0 0 0 0 0 0 0 0 0 0 0 0 0
0 0 0 0 0 0 0 0 0 0 0 0 0 0 0 0 0 0 0 0 0 0 0 0 0 0 0 0 0 0 0 0 0 0 0 0 0 0 0 0.0440528634361234 0 0 0 0.944933920704846 0 0 0 0.0110132158590308 0 0 0 0 0 0 0 0 0 0 0 0 0 0 0 0 0 0 0 0 0 0 0 0 0 0 0 0 0 0 0 0 0 0 0 0
0 0 0 0 0 0 0 0 0 0 0 0 0 0 0 0 0 0 0 0 0 0 0 0 0 0 0 0 0 0 0 0 0 0 0 0 0 0 0 0 0.0484581497797357 0 0 0 0.939207048458150 0.000220264317180617 0.000440528634361233 0.000660792951541850 0.0110132158590308 0 0 0 0 0 0 0 0 0 0 0 0 0 0 0 0 0 0 0 0 0 0 0 0 0 0 0 0 0 0 0 0 0 0 0
0 0 0 0 0 0 0 0 0 0 0 0 0 0 0 0 0 0 0 0 0 0 0 0 0 0 0 0 0 0 0 0 0 0 0 0 0 0 0 0 0 0.0484581497797357 0 0 0.000881057268722467 0.937224669603524 0.00110132158590308 0.00132158590308370 0 0.0110132158590308 0 0 0 0 0 0 0 0 0 0 0 0 0 0 0 0 0 0 0 0 0 0 0 0 0 0 0 0 0 0 0 0 0 0
0 0 0 0 0 0 0 0 0 0 0 0 0 0 0 0 0 0 0 0 0 0 0 0 0 0 0 0 0 0 0 0 0 0 0 0 0 0 0 0 0 0 0.0484581497797357 0 0.00154185022026432 0.00176211453744493 0.935242290748899 0.00198237885462555 0 0 0.0110132158590308 0 0 0 0 0 0 0 0 0 0 0 0 0 0 0 0 0 0 0 0 0 0 0 0 0 0 0 0 0 0 0 0 0
0 0 0 0 0 0 0 0 0 0 0 0 0 0 0 0 0 0 0 0 0 0 0 0 0 0 0 0 0 0 0 0 0 0 0 0 0 0 0 0 0 0 0 0.0484581497797357 0 0 0 0.940528634361234 0 0 0 0.0110132158590308 0 0 0 0 0 0 0 0 0 0 0 0 0 0 0 0 0 0 0 0 0 0 0 0 0 0 0 0 0 0 0 0
0 0 0 0 0 0 0 0 0 0 0 0 0 0 0 0 0 0 0 0 0 0 0 0 0 0 0 0 0 0 0 0 0 0 0 0 0 0 0 0 0 0 0 0 0.0528634361233480 0 0 0 0.934801762114538 0.000220264317180617 0.000440528634361233 0.000660792951541850 0.0110132158590308 0 0 0 0 0 0 0 0 0 0 0 0 0 0 0 0 0 0 0 0 0 0 0 0 0 0 0 0 0 0 0
0 0 0 0 0 0 0 0 0 0 0 0 0 0 0 0 0 0 0 0 0 0 0 0 0 0 0 0 0 0 0 0 0 0 0 0 0 0 0 0 0 0 0 0 0 0.0528634361233480 0 0 0.000881057268722467 0.932819383259912 0.00110132158590308 0.00132158590308370 0 0.0110132158590308 0 0 0 0 0 0 0 0 0 0 0 0 0 0 0 0 0 0 0 0 0 0 0 0 0 0 0 0 0 0
0 0 0 0 0 0 0 0 0 0 0 0 0 0 0 0 0 0 0 0 0 0 0 0 0 0 0 0 0 0 0 0 0 0 0 0 0 0 0 0 0 0 0 0 0 0 0.0528634361233480 0 0.00154185022026432 0.00176211453744493 0.930837004405286 0.00198237885462555 0 0 0.0110132158590308 0 0 0 0 0 0 0 0 0 0 0 0 0 0 0 0 0 0 0 0 0 0 0 0 0 0 0 0 0
0 0 0 0 0 0 0 0 0 0 0 0 0 0 0 0 0 0 0 0 0 0 0 0 0 0 0 0 0 0 0 0 0 0 0 0 0 0 0 0 0 0 0 0 0 0 0 0.0528634361233480 0 0 0 0.936123348017621 0 0 0 0.0110132158590308 0 0 0 0 0 0 0 0 0 0 0 0 0 0 0 0 0 0 0 0 0 0 0 0 0 0 0 0
0 0 0 0 0 0 0 0 0 0 0 0 0 0 0 0 0 0 0 0 0 0 0 0 0 0 0 0 0 0 0 0 0 0 0 0 0 0 0 0 0 0 0 0 0 0 0 0 0.0572687224669604 0 0 0 0.930396475770925 0.000220264317180617 0.000440528634361233 0.000660792951541850 0.0110132158590308 0 0 0 0 0 0 0 0 0 0 0 0 0 0 0 0 0 0 0 0 0 0 0 0 0 0 0
0 0 0 0 0 0 0 0 0 0 0 0 0 0 0 0 0 0 0 0 0 0 0 0 0 0 0 0 0 0 0 0 0 0 0 0 0 0 0 0 0 0 0 0 0 0 0 0 0 0.0572687224669604 0 0 0.000881057268722467 0.928414096916300 0.00110132158590308 0.00132158590308370 0 0.0110132158590308 0 0 0 0 0 0 0 0 0 0 0 0 0 0 0 0 0 0 0 0 0 0 0 0 0 0
0 0 0 0 0 0 0 0 0 0 0 0 0 0 0 0 0 0 0 0 0 0 0 0 0 0 0 0 0 0 0 0 0 0 0 0 0 0 0 0 0 0 0 0 0 0 0 0 0 0 0.0572687224669604 0 0.00154185022026432 0.00176211453744493 0.926431718061674 0.00198237885462555 0 0 0.0110132158590308 0 0 0 0 0 0 0 0 0 0 0 0 0 0 0 0 0 0 0 0 0 0 0 0 0
0 0 0 0 0 0 0 0 0 0 0 0 0 0 0 0 0 0 0 0 0 0 0 0 0 0 0 0 0 0 0 0 0 0 0 0 0 0 0 0 0 0 0 0 0 0 0 0 0 0 0 0.0572687224669604 0 0 0 0.931718061674009 0 0 0 0.0110132158590308 0 0 0 0 0 0 0 0 0 0 0 0 0 0 0 0 0 0 0 0 0 0 0 0
0 0 0 0 0 0 0 0 0 0 0 0 0 0 0 0 0 0 0 0 0 0 0 0 0 0 0 0 0 0 0 0 0 0 0 0 0 0 0 0 0 0 0 0 0 0 0 0 0 0 0 0 0.0616740088105727 0 0 0 0.925991189427313 0.000220264317180617 0.000440528634361233 0.000660792951541850 0.0110132158590308 0 0 0 0 0 0 0 0 0 0 0 0 0 0 0 0 0 0 0 0 0 0 0
0 0 0 0 0 0 0 0 0 0 0 0 0 0 0 0 0 0 0 0 0 0 0 0 0 0 0 0 0 0 0 0 0 0 0 0 0 0 0 0 0 0 0 0 0 0 0 0 0 0 0 0 0 0.0616740088105727 0 0 0.000881057268722467 0.924008810572687 0.00110132158590308 0.00132158590308370 0 0.0110132158590308 0 0 0 0 0 0 0 0 0 0 0 0 0 0 0 0 0 0 0 0 0 0
0 0 0 0 0 0 0 0 0 0 0 0 0 0 0 0 0 0 0 0 0 0 0 0 0 0 0 0 0 0 0 0 0 0 0 0 0 0 0 0 0 0 0 0 0 0 0 0 0 0 0 0 0 0 0.0616740088105727 0 0.00154185022026432 0.00176211453744493 0.922026431718062 0.00198237885462555 0 0 0.0110132158590308 0 0 0 0 0 0 0 0 0 0 0 0 0 0 0 0 0 0 0 0 0
0 0 0 0 0 0 0 0 0 0 0 0 0 0 0 0 0 0 0 0 0 0 0 0 0 0 0 0 0 0 0 0 0 0 0 0 0 0 0 0 0 0 0 0 0 0 0 0 0 0 0 0 0 0 0 0.0616740088105727 0 0 0 0.927312775330397 0 0 0 0.0110132158590308 0 0 0 0 0 0 0 0 0 0 0 0 0 0 0 0 0 0 0 0
0 0 0 0 0 0 0 0 0 0 0 0 0 0 0 0 0 0 0 0 0 0 0 0 0 0 0 0 0 0 0 0 0 0 0 0 0 0 0 0 0 0 0 0 0 0 0 0 0 0 0 0 0 0 0 0 0.0660792951541850 0 0 0 0.921585903083701 0.000220264317180617 0.000440528634361233 0.000660792951541850 0.0110132158590308 0 0 0 0 0 0 0 0 0 0 0 0 0 0 0 0 0 0 0
0 0 0 0 0 0 0 0 0 0 0 0 0 0 0 0 0 0 0 0 0 0 0 0 0 0 0 0 0 0 0 0 0 0 0 0 0 0 0 0 0 0 0 0 0 0 0 0 0 0 0 0 0 0 0 0 0 0.0660792951541850 0 0 0.000881057268722467 0.919603524229075 0.00110132158590308 0.00132158590308370 0 0.0110132158590308 0 0 0 0 0 0 0 0 0 0 0 0 0 0 0 0 0 0
0 0 0 0 0 0 0 0 0 0 0 0 0 0 0 0 0 0 0 0 0 0 0 0 0 0 0 0 0 0 0 0 0 0 0 0 0 0 0 0 0 0 0 0 0 0 0 0 0 0 0 0 0 0 0 0 0 0 0.0660792951541850 0 0.00154185022026432 0.00176211453744493 0.917621145374449 0.00198237885462555 0 0 0.0110132158590308 0 0 0 0 0 0 0 0 0 0 0 0 0 0 0 0 0
0 0 0 0 0 0 0 0 0 0 0 0 0 0 0 0 0 0 0 0 0 0 0 0 0 0 0 0 0 0 0 0 0 0 0 0 0 0 0 0 0 0 0 0 0 0 0 0 0 0 0 0 0 0 0 0 0 0 0 0.0660792951541850 0 0 0 0.922907488986784 0 0 0 0.0110132158590308 0 0 0 0 0 0 0 0 0 0 0 0 0 0 0 0
0 0 0 0 0 0 0 0 0 0 0 0 0 0 0 0 0 0 0 0 0 0 0 0 0 0 0 0 0 0 0 0 0 0 0 0 0 0 0 0 0 0 0 0 0 0 0 0 0 0 0 0 0 0 0 0 0 0 0 0 0.0704845814977974 0 0 0 0.917180616740088 0.000220264317180617 0.000440528634361233 0.000660792951541850 0.0110132158590308 0 0 0 0 0 0 0 0 0 0 0 0 0 0 0
0 0 0 0 0 0 0 0 0 0 0 0 0 0 0 0 0 0 0 0 0 0 0 0 0 0 0 0 0 0 0 0 0 0 0 0 0 0 0 0 0 0 0 0 0 0 0 0 0 0 0 0 0 0 0 0 0 0 0 0 0 0.0704845814977974 0 0 0.000881057268722467 0.915198237885463 0.00110132158590308 0.00132158590308370 0 0.0110132158590308 0 0 0 0 0 0 0 0 0 0 0 0 0 0
0 0 0 0 0 0 0 0 0 0 0 0 0 0 0 0 0 0 0 0 0 0 0 0 0 0 0 0 0 0 0 0 0 0 0 0 0 0 0 0 0 0 0 0 0 0 0 0 0 0 0 0 0 0 0 0 0 0 0 0 0 0 0.0704845814977974 0 0.00154185022026432 0.00176211453744493 0.913215859030837 0.00198237885462555 0 0 0.0110132158590308 0 0 0 0 0 0 0 0 0 0 0 0 0
0 0 0 0 0 0 0 0 0 0 0 0 0 0 0 0 0 0 0 0 0 0 0 0 0 0 0 0 0 0 0 0 0 0 0 0 0 0 0 0 0 0 0 0 0 0 0 0 0 0 0 0 0 0 0 0 0 0 0 0 0 0 0 0.0704845814977974 0 0 0 0.918502202643172 0 0 0 0.0110132158590308 0 0 0 0 0 0 0 0 0 0 0 0
0 0 0 0 0 0 0 0 0 0 0 0 0 0 0 0 0 0 0 0 0 0 0 0 0 0 0 0 0 0 0 0 0 0 0 0 0 0 0 0 0 0 0 0 0 0 0 0 0 0 0 0 0 0 0 0 0 0 0 0 0 0 0 0 0.0748898678414097 0 0 0 0.912775330396476 0.000220264317180617 0.000440528634361233 0.000660792951541850 0.0110132158590308 0 0 0 0 0 0 0 0 0 0 0
0 0 0 0 0 0 0 0 0 0 0 0 0 0 0 0 0 0 0 0 0 0 0 0 0 0 0 0 0 0 0 0 0 0 0 0 0 0 0 0 0 0 0 0 0 0 0 0 0 0 0 0 0 0 0 0 0 0 0 0 0 0 0 0 0 0.0748898678414097 0 0 0.000881057268722467 0.910792951541850 0.00110132158590308 0.00132158590308370 0 0.0110132158590308 0 0 0 0 0 0 0 0 0 0
0 0 0 0 0 0 0 0 0 0 0 0 0 0 0 0 0 0 0 0 0 0 0 0 0 0 0 0 0 0 0 0 0 0 0 0 0 0 0 0 0 0 0 0 0 0 0 0 0 0 0 0 0 0 0 0 0 0 0 0 0 0 0 0 0 0 0.0748898678414097 0 0.00154185022026432 0.00176211453744493 0.908810572687225 0.00198237885462555 0 0 0.0110132158590308 0 0 0 0 0 0 0 0 0
0 0 0 0 0 0 0 0 0 0 0 0 0 0 0 0 0 0 0 0 0 0 0 0 0 0 0 0 0 0 0 0 0 0 0 0 0 0 0 0 0 0 0 0 0 0 0 0 0 0 0 0 0 0 0 0 0 0 0 0 0 0 0 0 0 0 0 0.0748898678414097 0 0 0 0.914096916299560 0 0 0 0.0110132158590308 0 0 0 0 0 0 0 0
0 0 0 0 0 0 0 0 0 0 0 0 0 0 0 0 0 0 0 0 0 0 0 0 0 0 0 0 0 0 0 0 0 0 0 0 0 0 0 0 0 0 0 0 0 0 0 0 0 0 0 0 0 0 0 0 0 0 0 0 0 0 0 0 0 0 0 0 0.0792951541850220 0 0 0 0.908370044052864 0.000220264317180617 0.000440528634361233 0.000660792951541850 0.0110132158590308 0 0 0 0 0 0 0
0 0 0 0 0 0 0 0 0 0 0 0 0 0 0 0 0 0 0 0 0 0 0 0 0 0 0 0 0 0 0 0 0 0 0 0 0 0 0 0 0 0 0 0 0 0 0 0 0 0 0 0 0 0 0 0 0 0 0 0 0 0 0 0 0 0 0 0 0 0.0792951541850220 0 0 0.000881057268722467 0.906387665198238 0.00110132158590308 0.00132158590308370 0 0.0110132158590308 0 0 0 0 0 0
0 0 0 0 0 0 0 0 0 0 0 0 0 0 0 0 0 0 0 0 0 0 0 0 0 0 0 0 0 0 0 0 0 0 0 0 0 0 0 0 0 0 0 0 0 0 0 0 0 0 0 0 0 0 0 0 0 0 0 0 0 0 0 0 0 0 0 0 0 0 0.0792951541850220 0 0.00154185022026432 0.00176211453744493 0.904405286343612 0.00198237885462555 0 0 0.0110132158590308 0 0 0 0 0
0 0 0 0 0 0 0 0 0 0 0 0 0 0 0 0 0 0 0 0 0 0 0 0 0 0 0 0 0 0 0 0 0 0 0 0 0 0 0 0 0 0 0 0 0 0 0 0 0 0 0 0 0 0 0 0 0 0 0 0 0 0 0 0 0 0 0 0 0 0 0 0.0792951541850220 0 0 0 0.909691629955947 0 0 0 0.0110132158590308 0 0 0 0
0 0 0 0 0 0 0 0 0 0 0 0 0 0 0 0 0 0 0 0 0 0 0 0 0 0 0 0 0 0 0 0 0 0 0 0 0 0 0 0 0 0 0 0 0 0 0 0 0 0 0 0 0 0 0 0 0 0 0 0 0 0 0 0 0 0 0 0 0 0 0 0 0.0837004405286344 0 0 0 0.903964757709251 0.000220264317180617 0.000440528634361233 0.000660792951541850 0.0110132158590308 0 0 0
0 0 0 0 0 0 0 0 0 0 0 0 0 0 0 0 0 0 0 0 0 0 0 0 0 0 0 0 0 0 0 0 0 0 0 0 0 0 0 0 0 0 0 0 0 0 0 0 0 0 0 0 0 0 0 0 0 0 0 0 0 0 0 0 0 0 0 0 0 0 0 0 0 0.0837004405286344 0 0 0.000881057268722467 0.901982378854626 0.00110132158590308 0.00132158590308370 0 0.0110132158590308 0 0
0 0 0 0 0 0 0 0 0 0 0 0 0 0 0 0 0 0 0 0 0 0 0 0 0 0 0 0 0 0 0 0 0 0 0 0 0 0 0 0 0 0 0 0 0 0 0 0 0 0 0 0 0 0 0 0 0 0 0 0 0 0 0 0 0 0 0 0 0 0 0 0 0 0 0.0837004405286344 0 0.00154185022026432 0.00176211453744493 0.900000000000000 0.00198237885462555 0 0 0.0110132158590308 0
0 0 0 0 0 0 0 0 0 0 0 0 0 0 0 0 0 0 0 0 0 0 0 0 0 0 0 0 0 0 0 0 0 0 0 0 0 0 0 0 0 0 0 0 0 0 0 0 0 0 0 0 0 0 0 0 0 0 0 0 0 0 0 0 0 0 0 0 0 0 0 0 0 0 0 0.0837004405286344 0 0 0 0.905286343612335 0 0 0 0.0110132158590308
0 0 0 0 0 0 0 0 0 0 0 0 0 0 0 0 0 0 0 0 0 0 0 0 0 0 0 0 0 0 0 0 0 0 0 0 0 0 0 0 0 0 0 0 0 0 0 0 0 0 0 0 0 0 0 0 0 0 0 0 0 0 0 0 0 0 0 0 0 0 0 0 0 0 0 0 0.0881057268722467 0 0 0 0.910572687224670 0.000220264317180617 0.000440528634361233 0.000660792951541850
0 0 0 0 0 0 0 0 0 0 0 0 0 0 0 0 0 0 0 0 0 0 0 0 0 0 0 0 0 0 0 0 0 0 0 0 0 0 0 0 0 0 0 0 0 0 0 0 0 0 0 0 0 0 0 0 0 0 0 0 0 0 0 0 0 0 0 0 0 0 0 0 0 0 0 0 0 0.0881057268722467 0 0 0.000881057268722467 0.908590308370044 0.00110132158590308 0.00132158590308370
0 0 0 0 0 0 0 0 0 0 0 0 0 0 0 0 0 0 0 0 0 0 0 0 0 0 0 0 0 0 0 0 0 0 0 0 0 0 0 0 0 0 0 0 0 0 0 0 0 0 0 0 0 0 0 0 0 0 0 0 0 0 0 0 0 0 0 0 0 0 0 0 0 0 0 0 0 0 0.0881057268722467 0 0.00154185022026432 0.00176211453744493 0.906607929515419 0.00198237885462555
0 0 0 0 0 0 0 0 0 0 0 0 0 0 0 0 0 0 0 0 0 0 0 0 0 0 0 0 0 0 0 0 0 0 0 0 0 0 0 0 0 0 0 0 0 0 0 0 0 0 0 0 0 0 0 0 0 0 0 0 0 0 0 0 0 0 0 0 0 0 0 0 0 0 0 0 0 0 0 0.0881057268722467 0 0 0 0.911894273127753];问题1:
这三种方法中的每一种都得到了不同的结果,我不确定使用哪种方法。对于迭代器方法,我知道这是一个近似,可以用于大TPM的情况。
为何价值观会有这么大的差异呢?
问题2:
为什么我在平稳分布中得到负值?我用了一个更大的尺寸为2600x2600的TPM,我没有得到任何负值,但是很难把2600x2600矩阵放在这里。
发布于 2020-01-28 14:30:04
不需要工具箱:
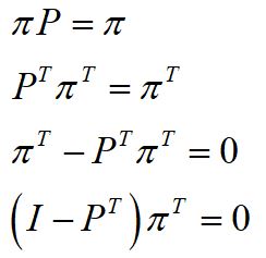
我们知道稳态概率是离散时间马尔可夫链(DTMC)下方程的唯一解。

您可以重写它,以表明此分布必须位于转移概率矩阵的空空间中(见下文)。这允许使用MATLAB的null()。

归一化和给出唯一的解,并满足另一个方程。
P = [.2 .3 .3 0 .2;
.1 .2 .3 .4 0;
0 .5 .4 .1 0;
.2 .2 .2 .3 .1;
.5 .2 .1 .1 .1];
ssp0 = null(eye(size(P))-P.');
SteadyStateProb = ssp0./sum(ssp0) % [0.1263 0.3017 0.2969 0.2224 0.0528]注意,临时ssp0有负值,但最终答案SteadyStateProb是正确的,因为所有值都是有效概率,所有概率之和为1。
基于的更新:对矩阵的调理
转换概率矩阵(编辑中的84×84大小的TPM )的一个问题是,行和大于1。您可以使用find(sum(TPM,2) > 1)验证这一点,以获得发生这种情况的行索引。此外,这种“超限”非常小:max(sum(TPM,2))-1显示4.4409e-16的最大行和超过1,对我来说是eps (2.2204e-16)的两倍。
使用下面的非常低的技术代码,我标准化了每一行。
% Re-Normalize: Divide the kth row by the sum of that row
TPM2 = TPM;
for k = 1:size(TPM2,1)
TPM2(k,:) = TPM2(k,:)/sum(TPM2(k,:));
end这不会导致一行和超过1;您可以使用find(sum(TPM2,2) > 1)进行验证,后者返回0×1空的双列向量。
在不需要进一步按摩矩阵的情况下,可以得到稳态分布。
ssp0 = null(eye(size(TPM2))-TPM2.');
SteadyStateProb_TPM2 = ssp0./sum(ssp0);注意min(SteadyStateProb_TPM2)是-9.6502e-16 (0!)和本质上是1 (abs(1-sum(SteadyStateProb_TPM2)))。
我现在只想强迫你不要消极。
SteadyStateProb_TPM2(SteadyStateProb_TPM2<0) = 0; 与迭代逼近的比较:
我们知道,当TPM2^n变得足够大时,n就会收敛到SteadyStateProb_TPM2。所以让我们检查一下。
我们将转移矩阵本身乘以多次(这里我们得到了2500步转移矩阵)。我们可以看到,它似乎正或多或少地向目标靠拢。
Approx = TPM2^500;
Approx = Approx*Approx*Approx*Approx*Approx;
ind = find(SteadyStateProb_TPM2 > 0.05); % find states with steady state prob > 0.05
SteadyStateProb_TPM2(ind).'
Approx(1:6,ind)注意,状态是[4 8 12 16 20 24]。
ans =
0.0821 0.2052 0.2565 0.2138 0.1336 0.0668
安=
0.0727 0.1818 0.2273 0.1894 0.1184 0.0592 0.0760 0.1900 0.2374 0.1979 0.1237 0.0618 0.0763 0.1908 0.2385 0.1988 0.1242 0.0621 0.0821 0.2052 0.2565 0.1336 0.0668 0.0727 0.1818 0.2273 0.1894 0.0592 0.0760 0.1900 0.2374 0.1979 0.1237 0.0618
根据您的应用程序,您可能认为这个迭代方法足够好,但是当直接分析方法仍然可行时,我不会使用它。我想象一个2600×2600矩阵在MATLAB中是可行的,如果你花时间确保它是良好的条件。
更新re: :特征值方法怎么办?
效果很好。
% Using the 5x5 P matrix from above
[V,D] = eigs(double(P.'),1);
Py = -abs(V)/sum(V)或者说,
Pyalt = V./sum(V)您也可以在84x84上验证这一点:
[V2,D2] = eigs(double(TPM2'),1);
Py_TPM2 = -abs(V2)/sum(V2);
Py_TPM2alt = V2./sum(V2);
% Evaluate to compare
SteadyStateProb_TPM2(ind).'
Py_TPM2(ind).'
Py_TPM2alt(ind).'这就说明了以下几点。注意,状态是[4 8 12 16 20 24]。
SteadyStateProb_TPM2(ind).' = 0.0821 0.2052 0.2565 0.2138 0.1336 0.0668
Py_TPM2(ind).' = 0.0821 0.2052 0.2565 0.2138 0.1336 0.0668
Py_TPM2alt(ind).' = 0.0821 0.2052 0.2565 0.2138 0.1336 0.0668
https://stackoverflow.com/questions/59950322
复制相似问题