我需要针对相应的表型绘制一个重要的SNP代码(分类)的条形图,类似于这些图:

我在R中尝试了很多方法,并得到了一些结果,但我在字段中得到了我最喜欢的结果。以下是守则和结果:
### DATA
SNP_code <- as.factor(c("GG","GA","AA","GA","GA","GG","GG","GG","GG","GA","GA","AA","GA","GA","GA","GG","GG","GG","GG","AA","GG","GG","GG","GG","AA","GG","GG","GA","GG","AA","GA","GG","GG","GG","GG","GG","GG","AA","GG","GA","GG","GG","GA","GG","GG","GA","GG","GG","GA","GA","GG","GA","GG","GA","GA","GA","GA","GA","GA","GG","GG","GG","AA","GA","GA","GA","GA","GG","GA","GG","GG","GG","GA","GA","GA","GG","GG","GA","GG","AA","GG","GG","GG","AA"))
EBV <- c(0.06663,-0.03031,-0.122,-0.02021,-0.1157,-0.08131,-0.02034,-0.06324,0.06699,-0.062,0.02736,-0.1201,-0.04846,-0.06934,-0.06023,-0.009244,-0.05648,-0.01908,0.06728,-0.06517,0.08534,0.07618,-0.0814,0.06113,-0.0795,0.1055,0.08305,0.1209,-0.05314,-0.09431,0.05185,0.1347,0.1591,0.08777,0.08326,0.1612,0.09528,-0.1002,0.1561,-0.09327,0.09474,0.1356,0.06384,0.1585,0.03235,0.1081,0.1462,-0.04082,-0.05042,0.01793,-0.1157,-0.1165,-0.009399,-0.02311,-0.108,-0.1143,0.07219,0.01376,-0.05059,-0.052,0.08494,-0.0388,-0.06346,0.07789,0.02961,-0.1126,0.1102,0.133,-0.09317,-0.1181,0.1584,0.122,0.1019,-0.04074,-0.01178,0.09523,-0.03266,-0.01258,-0.0231,-0.08259,0.05823,-0.02894,-0.008242,0.07981)
LS <- c(2,1,1,1,1,1,1,1,2,1,1,1,1,1,1,1,1,1,2,1,2,1,1,2,1,2,2,2,1,1,1,2,2,2,2,2,1,1,2,1,2,2,2,1,2,2,2,1,1,2,1,1,1,1,1,1,1,1,1,1,2,1,1,2,1,1,2,2,1,1,2,1,2,1,1,2,1,1,1,1,1,1,1,2)
IDs <- c(1033,1081,1106,1107,1120,1194,1199,1326,1334,1340,1345,1358,1398,1404,1405,1421,1457,1459,1464,1509,1529,1542,1550,2025,2030,2095,2099,2128,2141,2153,2167,2224,2232,2238,2244,2266,2271,2280,2283,2323,2326,2337,2369,2390,2391,2396,851012,851016,851021,851055,851063,851084,851105,851109,851146,851169,851176,851198,851205,851246,851266,851292,851332,851345,851488,851489,851509,851528,851531,851547,851562,851573,851574,851578,851584,851588,851592,851622,851651,851670,851672,851684,851690,861086)
sig_snp <- data.frame(IDs, SNP_code, EBV, LS)###方差分析与均值比较
library(dplyr)
### for LS
group_by(sig_snp, SNP_code) %>%
summarise(
count = n(),
mean = mean(LS, na.rm = TRUE),
sd = sd(LS, na.rm = TRUE))
### for EBV
group_by(sig_snp, SNP_code) %>%
summarise(
count = n(),
mean = mean(EBV, na.rm = TRUE),
sd = sd(EBV, na.rm = TRUE))
# Compute the analysis of variance
Anova.fit <- aov(EBV ~ SNP_code, data = sig_snp)
summary(Anova.fit)
# Tukey multiple pairwise-comparisons
TukeyHSD(Anova.fit)
# or
library(multcomp)
summary(glht(Anova.fit, linfct = mcp(SNP_code = "Tukey")))用于EBV的###框图(实际上,我需要用于LS和EBV的Barplot )
library(ggplot2)
library(ggpval)
plot <- ggplot(sig_snp, aes(SNP_code, EBV)) +
geom_boxplot(fill=c("red","blue", "green"), color="black", width=.7); plot
add_pval(plot, pairs = list(c(1, 3)), test='wilcox.test')
add_pval(plot, pairs = list(c(2, 3)), test='wilcox.test')
add_pval(plot, pairs = list(c(1, 2)), test='wilcox.test')

"add_pval“只使用"wilcox.test”和"t.test",但我喜欢Tukey。任何帮助都是非常感谢的。
发布于 2020-01-12 02:20:54
我在下面发布的代码肯定还有改进的余地,但至少给出了一个工作流示例,您可以使用该工作流获取“最喜欢”的参数:
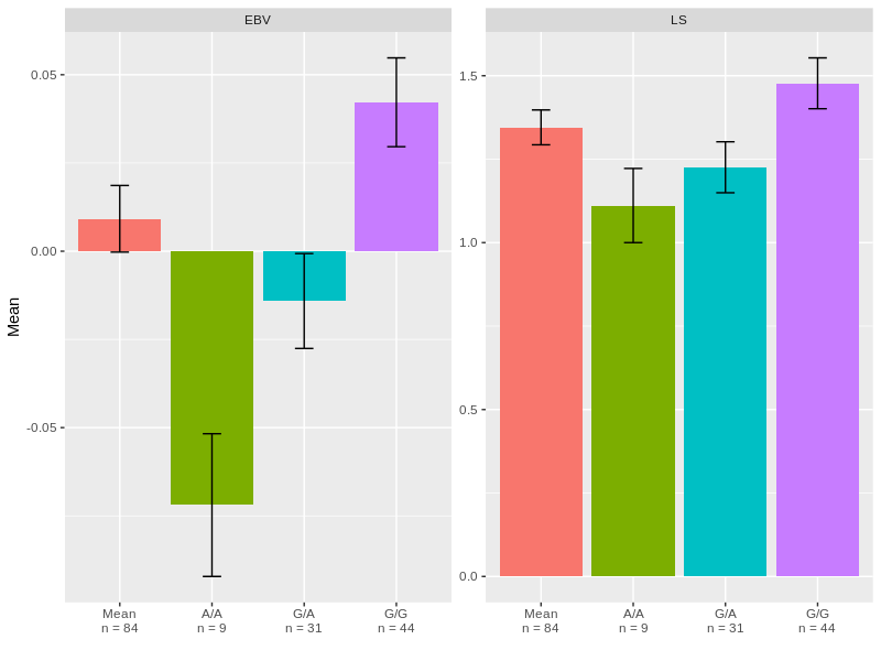
A部分:条形图
( 1)对sig_snp进行了重组,得到了每一个SNP在EBV或LS函数中的均值。
library(tidyverse)
DF1 <- sig_snp %>%
pivot_longer(., cols = c(EBV,LS), names_to = "Variable", values_to = "Values") %>%
group_by(SNP_code, Variable) %>%
summarise(Mean = mean(Values),
SEM = sd(Values) / sqrt(n()),
Nb = n()) %>%
rowwise() %>%
mutate(Labels = as.character(SNP_code)) %>%
mutate(Labels = paste(unlist(strsplit(Labels,"")),collapse = "/")) %>%
mutate(Labels = paste0(Labels,"\nn = ",Nb))
# A tibble: 6 x 6
SNP_code Variable Mean SEM Nb Labels
<fct> <chr> <dbl> <dbl> <int> <chr>
1 AA EBV -0.0719 0.0202 9 "A/A\nn = 9"
2 AA LS 1.11 0.111 9 "A/A\nn = 9"
3 GA EBV -0.0141 0.0134 31 "G/A\nn = 31"
4 GA LS 1.23 0.0763 31 "G/A\nn = 31"
5 GG EBV 0.0422 0.0126 44 "G/G\nn = 44"
6 GG LS 1.48 0.0762 44 "G/G\nn = 44"labels列稍后将用于x轴的标记.
2)然后,我们将通过以下方法计算出总平均值(这将有助于绘制“平均值”栏):
library(tidyverse)
DF2 <- sig_snp %>%
pivot_longer(., cols = c(EBV,LS), names_to = "Variable", values_to = "Values") %>%
group_by(Variable) %>%
summarise(Mean = mean(Values),
SEM = sd(Values) / sqrt(n()),
Nb = n()) %>%
mutate(SNP_code = "All") %>%
select(SNP_code, Variable, Mean, SEM, Nb) %>%
rowwise() %>%
mutate(Labels = paste0("Mean\nn = ",Nb))
# A tibble: 2 x 6
SNP_code Variable Mean SEM Nb Labels
<chr> <chr> <dbl> <dbl> <int> <chr>
1 All EBV 0.00918 0.00944 84 "Mean\nn = 84"
2 All LS 1.35 0.0522 84 "Mean\nn = 84"3)我们结合了DF1和DF2,并重新组织了SNP_code级别,以获得正确的绘图顺序:
library(tidyverse)
DF <- bind_rows(DF1, DF2)
DF$Labels = factor(DF$Labels,levels= c("Mean\nn = 84",
"A/A\nn = 9",
"G/A\nn = 31",
"G/G\nn = 44" ))4)现在,我们可以绘制它:
library(ggplot2)
ggplot(DF, aes(x = SNP_code, y = Mean, fill = SNP_code))+
geom_bar(stat = "identity", show.legend = FALSE)+
geom_errorbar(aes(ymin = Mean-SEM, ymax = Mean+SEM), width = 0.2)+
facet_wrap(.~Variable, scales = "free")+
scale_x_discrete(name = "",labels = levels(DF$Labels))

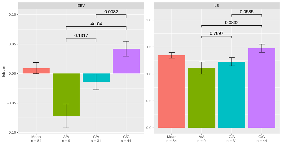
B部分:在条形图上添加统计量
为了添加统计信息,可以使用geom_signif函数从ggsignif包中添加来自外部输出的统计信息。
1)首先为EBV上的Tukey测试的输出创建数据:
Anova.fit <- aov(EBV ~ SNP_code, data = sig_snp)
t <- TukeyHSD(Anova.fit)
stat <- t$SNP_code
Stat_EBV <- stat %>% as.data.frame() %>%
mutate(Variable = "EBV") %>%
mutate(Group = rownames(stat)) %>%
rowwise() %>%
mutate(Group1 = unlist(strsplit(Group,"-"))[1]) %>%
mutate(Group2 = unlist(strsplit(Group,"-"))[2]) %>%
mutate(labels = round(`p adj`,4))
Stat_EBV$y_pos <- c(0.06,0.08,0.1)2) LS的Tukey测试也是一样的。
Anova.fit <- aov(LS ~ SNP_code, data = sig_snp)
t <- TukeyHSD(Anova.fit)
stat <- t$SNP_code
Stat_LS <- stat %>% as.data.frame() %>%
mutate(Variable = "LS") %>%
mutate(Group = rownames(stat)) %>%
rowwise() %>%
mutate(Group1 = unlist(strsplit(Group,"-"))[1]) %>%
mutate(Group2 = unlist(strsplit(Group,"-"))[2]) %>%
mutate(labels = round(`p adj`,4))
Stat_LS$y_pos = c(1.7,1.9,2.1)3)这两种统计数据的绑定:
library(tidyverse)
STAT <- bind_rows(Stat_EBV,Stat_LS)
# A tibble: 6 x 10
diff lwr upr `p adj` Variable Group Group1 Group2 labels y_pos
<dbl> <dbl> <dbl> <dbl> <chr> <chr> <chr> <chr> <dbl> <dbl>
1 0.0578 -0.0130 0.129 0.132 EBV GA-AA GA AA 0.132 0.06
2 0.114 0.0457 0.183 0.000431 EBV GG-AA GG AA 0.0004 0.08
3 0.0563 0.0125 0.100 0.00821 EBV GG-GA GG GA 0.0082 0.1
4 0.115 -0.303 0.532 0.790 LS GA-AA GA AA 0.790 1.7
5 0.366 -0.0373 0.770 0.0832 LS GG-AA GG AA 0.0832 1.9
6 0.251 -0.00716 0.510 0.0585 LS GG-GA GG GA 0.0585 2.14)获取条形图并添加统计结果:
library(ggplot2)
library(ggsignif)
ggplot(DF, aes(x = SNP_code, y = Mean, fill = SNP_code))+
geom_bar(stat = "identity", show.legend = FALSE)+
geom_errorbar(aes(ymin = Mean-SEM, ymax = Mean+SEM), width = 0.2)+
geom_signif(inherit.aes = FALSE, data = STAT,
aes(xmin=Group1, xmax=Group2, annotations=labels, y_position=y_pos),
manual = TRUE)+
facet_wrap(.~Variable, scales = "free")+
scale_x_discrete(name = "",labels = levels(DF$Labels))

我希望这看起来像你期望的那样。
https://stackoverflow.com/questions/59693988
复制相似问题