我必须用Python中的积分"quad“和"args”来解决“年轻条纹”的问题。

对于一个源尺寸R的M(X,Y)屏幕上的强度公式如下:

源点S具有(xs=0,ys)与-R/2<=ys<=R/2的坐标
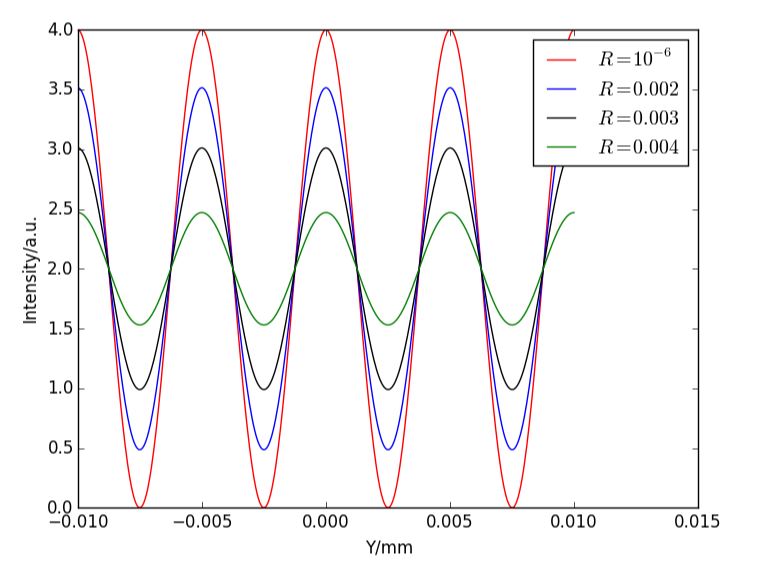
我需要创建一个函数来计算强度I(X,Y,R)使用"args“的”四“。然后,在-0.0 1和0.0 1之间绘制Y的I(0,Y,10e-6),也就是I(0,Y,0.002),I(0,Y,0.003),I(0,Y,0.004).知道我的错在哪里吗?
我的代码:
import numpy as np
import matplotlib.pyplot as plt
from scipy.integrate import quad
y_min = -0.01
y_max = +0.01
R = y_max-y_min
y = np.linspace(y_min, y_max, 100)
X = 0
Y = 0
d = 1
D = 10
s = 10
Lambda = 0.5e-3
delta_s = lambda ys,X,Y : np.sqrt(X**2+(Y-d/2)**2+D**2)+np.sqrt((ys-d/2)**2+s**2)- \
np.sqrt(X**2+(Y+d/2)**2+D**2)-np.sqrt((ys+d/2)**2+s**2)
def integrand(y_s,x,y):
value = 2*(1+np.cos(2*np.pi*delta_s(x,y,y_s)/Lambda))
return value
def calcul_XYR(X,Y,R):
compteur = 0
I_XYR = [] # array for I(X,Y,R)
while compteur < len(y-1):
Y = y[compteur]
print(Y)
I_XYR.append(1/R*quad(integrand, -R/2, R/2, args=(X,Y))[0])
compteur+=1
return I_XYR
plt.figure(figsize=(7, 5))
plt.title("Franges de Young - Figure 3")
plt.axis([y_min, 0.015, 0, 4])
plt.xlabel("Y (mm)")
plt.ylabel("Intensity (a.u.)")
plt.plot(y, calcul_XYR(0,Y,1e-6), '-', color="red", label=r'$R=10^{-6}$')
plt.plot(y, calcul_XYR(0,Y,0.002), '-', color="blue", label=r'$R=0.002$')
plt.plot(y, calcul_XYR(0,Y,0.003), '-', color="black", label=r'$R=0.003$')
plt.plot(y, calcul_XYR(0,Y,0.004), '-', color="green", label=r'$R=0.004$')
plt.legend(loc='right', bbox_to_anchor=(1.00, 0.3))
plt.savefig('question 3 figure.pdf', format='pdf')
plt.show()结果:

预期:

我还想绘制一个与I(X,Y,1e-06)对应的2D图像(使用参数为:cmp(灰色),vmin,vmax)。(X在-10至10之间)。
发布于 2020-01-04 03:30:30
主要错误是参数到delta_s的顺序。它被定义为delta_s = lambda ys, X, Y,但称为delta_s(X, Y, ys)。
而且,calcul_XYR不使用它的参数Y,所以最好删除它。循环可以编写为for Y in y。
下面是修改后的代码,以生成所需的情节:
import numpy as np
import matplotlib.pyplot as plt
from scipy.integrate import quad
y_min = -0.01
y_max = +0.01
#R = y_max - y_min
y = np.linspace(y_min, y_max, 100)
X = 0
Y = 0
d = 1
D = 10
s = 10
Lambda = 0.5e-3
def delta_s(X, Y, ys):
return np.sqrt(X ** 2 + (Y - d / 2) ** 2 + D ** 2) + np.sqrt((ys - d / 2) ** 2 + s ** 2) - \
np.sqrt(X ** 2 + (Y + d / 2) ** 2 + D ** 2) - np.sqrt((ys + d / 2) ** 2 + s ** 2)
def integrand(y_s, x, y):
return 2 * (1 + np.cos(2 * np.pi * delta_s(x, y, y_s) / Lambda))
def calcul_XR(X, R):
I_XYR = [] # array for I(X,Y,R)
for Y in y:
I_XYR.append(1 / R * quad(integrand, -R / 2, R / 2, args=(X, Y))[0])
return I_XYR
plt.figure(figsize=(7, 5))
plt.title("Franges de Young - Figure 3")
plt.axis([y_min, 0.015, 0, 4])
plt.xlabel("Y (mm)")
plt.ylabel("Intensity (a.u.)")
plt.plot(y, calcul_XR(0, 1e-6), '-', color="red", label=r'$R=10^{-6}$')
plt.plot(y, calcul_XR(0, 0.002), '-', color="blue", label=r'$R=0.002$')
plt.plot(y, calcul_XR(0, 0.003), '-', color="black", label=r'$R=0.003$')
plt.plot(y, calcul_XR(0, 0.004), '-', color="green", label=r'$R=0.004$')
plt.legend(loc='right', bbox_to_anchor=(1.00, 0.3))
plt.savefig('question 3 figure.pdf', format='pdf')
plt.show()

下面的代码显示函数的图像:
x_min = -10
x_max = 10
x = np.linspace(x_min, x_max, 100)
R = 1e-6
plt.figure(figsize=(7, 5))
graphe1 = []
for xi in x:
graphe1.append(calcul_XYR(xi, R))
graphe1 = np.array(graphe1).T #convert to numpy array and transpose
# imshow normally starts displaying at the top `origin='lower'` reverses this;
# the extent is used to tell imshow what the x and y limits of the image are, to correctly put the ticks
# without `aspect='auto'` imshow seems to want to display x and y with the same scale
# interpolation='bilinear' tells to smooth out the pixels
plt.imshow(graphe1, cmap=plt.cm.gray, vmin=None, vmax=None,
extent=[x_min, x_max, y_min, y_max],
aspect='auto', origin='lower', interpolation='bilinear')
plt.xlabel('X')
plt.ylabel('Y')
plt.title(f'R={R}')
plt.show()

https://stackoverflow.com/questions/59545302
复制相似问题