我正在使用Open3D来可视化一些点云。我想添加在特定点开始和结束的箭头。箭头会让我想象一些我正在做的事情。但是,我还没有找到一种简单的方法来添加这些箭头。
我注意到有一个函数来创建一个笛卡尔坐标系,它使用箭头。因此,可以在三维可视化中添加箭头。
import open3d as o3d
# Create cartesian coordinate
FOR = o3d.geometry.TriangleMesh.create_coordinate_frame(
size=10, origin=[0,0,0])
# Visualize FOR
o3d.visualization.draw_geometries([FOR])发布于 2019-11-25 06:52:18
我因为找不到在Open3D中创建箭头的简单方法而感到沮丧,经过一段时间的挣扎之后,我找到了一个解决方案。
import open3d as o3d
import numpy as np
def draw_geometries(pcds):
"""
Draw Geometries
Args:
- pcds (): [pcd1,pcd2,...]
"""
o3d.visualization.draw_geometries(pcds)
def get_o3d_FOR(origin=[0, 0, 0],size=10):
"""
Create a FOR that can be added to the open3d point cloud
"""
mesh_frame = o3d.geometry.TriangleMesh.create_coordinate_frame(
size=size)
mesh_frame.translate(origin)
return(mesh_frame)
def vector_magnitude(vec):
"""
Calculates a vector's magnitude.
Args:
- vec ():
"""
magnitude = np.sqrt(np.sum(vec**2))
return(magnitude)
def calculate_zy_rotation_for_arrow(vec):
"""
Calculates the rotations required to go from the vector vec to the
z axis vector of the original FOR. The first rotation that is
calculated is over the z axis. This will leave the vector vec on the
XZ plane. Then, the rotation over the y axis.
Returns the angles of rotation over axis z and y required to
get the vector vec into the same orientation as axis z
of the original FOR
Args:
- vec ():
"""
# Rotation over z axis of the FOR
gamma = np.arctan(vec[1]/vec[0])
Rz = np.array([[np.cos(gamma),-np.sin(gamma),0],
[np.sin(gamma),np.cos(gamma),0],
[0,0,1]])
# Rotate vec to calculate next rotation
vec = Rz.T@vec.reshape(-1,1)
vec = vec.reshape(-1)
# Rotation over y axis of the FOR
beta = np.arctan(vec[0]/vec[2])
Ry = np.array([[np.cos(beta),0,np.sin(beta)],
[0,1,0],
[-np.sin(beta),0,np.cos(beta)]])
return(Rz, Ry)
def create_arrow(scale=10):
"""
Create an arrow in for Open3D
"""
cone_height = scale*0.2
cylinder_height = scale*0.8
cone_radius = scale/10
cylinder_radius = scale/20
mesh_frame = o3d.geometry.TriangleMesh.create_arrow(cone_radius=1,
cone_height=cone_height,
cylinder_radius=0.5,
cylinder_height=cylinder_height)
return(mesh_frame)
def get_arrow(origin=[0, 0, 0], end=None, vec=None):
"""
Creates an arrow from an origin point to an end point,
or create an arrow from a vector vec starting from origin.
Args:
- end (): End point. [x,y,z]
- vec (): Vector. [i,j,k]
"""
scale = 10
Ry = Rz = np.eye(3)
T = np.array([[1, 0, 0, 0], [0, 1, 0, 0], [0, 0, 1, 0], [0, 0, 0, 1]])
T[:3, -1] = origin
if end is not None:
vec = np.array(end) - np.array(origin)
elif vec is not None:
vec = np.array(vec)
if end is not None or vec is not None:
scale = vector_magnitude(vec)
Rz, Ry = calculate_zy_rotation_for_arrow(vec)
mesh = create_arrow(scale)
# Create the arrow
mesh.rotate(Ry, center=np.array([0, 0, 0]))
mesh.rotate(Rz, center=np.array([0, 0, 0]))
mesh.translate(origin)
return(mesh)
# Create a Cartesian Frame of Reference
FOR = get_o3d_FOR()
# Create an arrow from point (5,5,5) to point (10,10,10)
# arrow = get_arrow([5,5,5],[10,10,10])
# Create an arrow representing vector vec, starting at (5,5,5)
# arrow = get_arrow([5,5,5],vec=[5,5,5])
# Create an arrow in the same place as the z axis
arrow = get_arrow()
# Draw everything
draw_geometries([FOR,arrow])发布于 2020-01-20 18:39:16
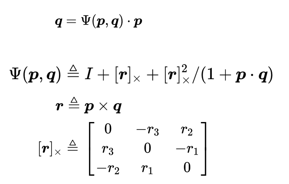
正如在论文3D-RCNN中提到的,我们可以计算2(单位)向量对齐运算之间的矩阵,如下公式所示:

其中“r”定义为p和q的交叉积,“rx”由一个斜对称矩阵定义,可以找到这里。
因此,我们可以使用这种方法来创建所需的箭头或圆柱体:只需使用前面的矩阵作为目标的旋转,并对齐中心。

演示的实现方式如下(基于open3d 0.9.0):
import numpy as np
import open3d as o3d
def get_cross_prod_mat(pVec_Arr):
# pVec_Arr shape (3)
qCross_prod_mat = np.array([
[0, -pVec_Arr[2], pVec_Arr[1]],
[pVec_Arr[2], 0, -pVec_Arr[0]],
[-pVec_Arr[1], pVec_Arr[0], 0],
])
return qCross_prod_mat
def caculate_align_mat(pVec_Arr):
scale = np.linalg.norm(pVec_Arr)
pVec_Arr = pVec_Arr/ scale
# must ensure pVec_Arr is also a unit vec.
z_unit_Arr = np.array([0,0,1])
z_mat = get_cross_prod_mat(z_unit_Arr)
z_c_vec = np.matmul(z_mat, pVec_Arr)
z_c_vec_mat = get_cross_prod_mat(z_c_vec)
if np.dot(z_unit_Arr, pVec_Arr) == -1:
qTrans_Mat = -np.eye(3, 3)
elif np.dot(z_unit_Arr, pVec_Arr) == 1:
qTrans_Mat = np.eye(3, 3)
else:
qTrans_Mat = np.eye(3, 3) + z_c_vec_mat + np.matmul(z_c_vec_mat,
z_c_vec_mat)/(1 + np.dot(z_unit_Arr, pVec_Arr))
qTrans_Mat *= scale
return qTrans_Mat
if __name__ == "__main__":
z_unit_Arr = np.array([0,0,1])
begin = [1, 0, 0]
end = [1.6, 0.4, 0.8]
vec_Arr = np.array(end) - np.array(begin)
vec_len = np.linalg.norm(vec_Arr)
mesh_frame = o3d.geometry.TriangleMesh.create_coordinate_frame(size=0.6, origin=[0, 0, 0])
mesh_arrow = o3d.geometry.TriangleMesh.create_arrow(
cone_height= 0.2 * vec_len,
cone_radius= 0.06 * vec_len,
cylinder_height= 0.8 * vec_len,
cylinder_radius= 0.04 * vec_len
)
mesh_arrow.paint_uniform_color([1,0,1])
mesh_arrow.compute_vertex_normals()
mesh_sphere_begin = o3d.geometry.TriangleMesh.create_sphere(radius=0.1, resolution= 20)
mesh_sphere_begin.translate(begin)
mesh_sphere_begin.paint_uniform_color([0,1,1])
mesh_sphere_begin.compute_vertex_normals()
mesh_sphere_end = o3d.geometry.TriangleMesh.create_sphere(radius=0.1, resolution= 20)
mesh_sphere_end.translate(end)
mesh_sphere_end.paint_uniform_color([0,1,1])
mesh_sphere_end.compute_vertex_normals()
# mesh_arrow,
o3d.visualization.draw_geometries(
geometry_list= [mesh_frame, mesh_arrow, mesh_sphere_begin, mesh_sphere_end],
window_name= "before", width= 800, height= 600
)
rot_mat = caculate_align_mat(vec_Arr)
mesh_arrow.rotate(rot_mat, center = False)
o3d.visualization.draw_geometries(
geometry_list= [mesh_frame, mesh_arrow, mesh_sphere_begin, mesh_sphere_end],
window_name= "after rotate", width= 800, height= 600
)
mesh_arrow.translate(np.array(begin)) # 0.5*(np.array(end) - np.array(begin))
o3d.visualization.draw_geometries(
geometry_list= [mesh_frame, mesh_arrow, mesh_sphere_begin, mesh_sphere_end],
window_name= "after translate", width= 800, height= 600
)https://stackoverflow.com/questions/59026581
复制相似问题