上下文
我正在处理计算流体力学中的网格。我想在一个圆圈周围生成一个结构化的网格。我的计划是生成一个极坐标网格(下图中的左网格),然后使用FG公式得到最终的网格(下图中的右网格)。我使用FG方法从第4页的这篇文章地图光盘到正方形。不幸的是,这篇文章没有提到如何处理公式中的奇点。以下是几种表达方式:
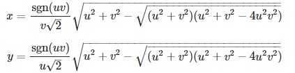
x = sgn(uv)/(v*sqrt 2)*sqrt(u**2+v**2-sqrt((u**2+v**2)(u**2+v**2-4u**2v**2)))y = sgn(uv)/(u*sqrt 2)*sqrt(u**2+v**2-sqrt((u**2+v**2)(u**2+v**2-4u**2v**2)))

在编写程序之前,我正与这些格式的一些问题作斗争。
问题
(1,0)、(0,1)、(-1,0)、(-1,-1)和(0,0)到(0,0)点?

以下是我的尝试:
"""Map a circular computational domain with structured mesh around a circle (circular cylinder in 3D) to
Rectangular domain"""
import numpy as np
from numpy import sqrt, sign, pi, cos, sin
import matplotlib.pyplot as plt
def FGsquircle(u, v):
SMALL = 1e-15
t0 = u**2+v**2
t1 = (u**2+v**2)*(u**2+v**2-4*u**2*v**2)
t2 = u**2+v**2
t3 = (u**2+v**2)*(u**2+v**2-4*u**2*v**2)
x = sign(u*v)/(v*sqrt(2.0)+SMALL)*sqrt(t0-sqrt(t1))
y = sign(u*v)/(u*sqrt(2.0)+SMALL)*sqrt(t2-sqrt(t3))
return x, y
R0 = 1.0 # radius of the disc
RMAX = 5.0 # the radius of the outer circle in the domain
NT = 360 # num of division in the theta direction
NR = 10 # num of radial divisions
r = [R0+(RMAX-R0)/NR*k for k in range(NR)] # the radii of circles
theta = np.array([2*pi/NT*k for k in range(NT+1)])
u = [r[k]*cos(theta) for k in range(NR)]
v = [r[k]*sin(theta) for k in range(NR)]
u = np.array(u)
v = np.array(v)
x, y = FGsquircle(u, v)我得到了以下错误:
utils.py:21: RuntimeWarning: invalid value encountered in sqrt
x = sign(u*v)/(v*sqrt(2.0)+SMALL)*sqrt(t0-sqrt(t1))
utils.py:22: RuntimeWarning: invalid value encountered in sqrt
y = sign(u*v)/(u*sqrt(2.0)+SMALL)*sqrt(t2-sqrt(t3))我很感谢你的帮助。
发布于 2019-12-19 09:56:10
为什么这些公式把(1,0),(0,1),(-1,0),(-1,-1)和(0,0)映射到点(0,0)?
在这两个表达式中,都用u或v除以,因此当两个表达式中的一个为0时,表达式将变为未定义(而不是零)。
我应该如何得到一个圆和一个正方形之间的中间形状,如下图所示。
只需映射一个半径小于1的圆。
是否有可能提供一个算法来从左边的网格中得到正确的网格?
你只需要转换网格点。细胞可以保持不变。
示例代码:
from numpy import sqrt, sign
import numpy
import matplotlib.pyplot as plt
def f(x):
u, v = x
alpha = sqrt(
u ** 2
+ v ** 2
- sqrt((u ** 2 + v ** 2) * (u ** 2 + v ** 2 - 4 * u ** 2 * v ** 2))
)
return numpy.array(
[sign(u * v) / (v * sqrt(2)) * alpha, sign(u * v) / (u * sqrt(2)) * alpha]
)
for r in numpy.linspace(0.1, 1.0, 10):
theta = numpy.linspace(0.0, 2 * numpy.pi, 1000, endpoint=True)
uv = r * numpy.array([numpy.cos(theta), numpy.sin(theta)])
xy = f(uv)
plt.plot(xy[0], xy[1], "-")
plt.gca().set_aspect("equal")
plt.show()

https://stackoverflow.com/questions/59203584
复制相似问题