我是GEKKO的新手,也是模拟生物反应器的新手,所以我可能忽略了一些显而易见的东西。
我有一个由10首颂歌组成的系统,用来描述一个喂食式生物反应器。给出了所有的常数。下图显示了该模型的预期行为(从一篇论文中提取)。然而,我找到的唯一可行的解决方案是,当活细胞密度(XV) = 0,并在所有时间t中保持0,或者如果时间T真的很小(<20)。如果将较低的边界>= 0或初始值设置为XV而t> 20,则系统将变得不可行。
多次检查方程和常数。我试着给出变量的初始值,但也不起作用。我只能想到两个问题:我没有正确地启动变量,或者我没有正确地使用GEKKO。有什么想法吗?谢谢!!


import numpy as np
from gekko import GEKKO
import matplotlib.pyplot as plt
m = GEKKO(remote=False) # create GEKKO model
#constants 3L continuous fed-batch
KdQ = 0.001 #degree of degradation of glutamine (1/h)
mG = 1.1*10**-10 #glucose maintenance coefficient (mmol/cell/hour)
YAQ = 0.90 #yield of ammonia from glutamine
YLG = 2 #yield of lactate from glucose
YXG = 2.2*10**8 #yield of cells from glucose (cells/mmol)
YXQ = 1.5*10**9 #yield of cells from glutamine (cells/mmol)
KL = 150 #lactate saturation constant (mM)
KA = 40 #ammonia saturation constant (mM)
Kdmax = 0.01 #maximum death rate (1/h)
mumax = 0.044 #maximum growth rate (1/h)
KG = 1 #glucose saturation constant (mM)
KQ = 0.22 #glutamine saturation constant (mM)
mQ = 0 #glutamine maintenance coefficient (mmol/cell/hour)
kmu = 0.01 #intrinsic death rate (1/h)
Klysis = 2*10**-2 #rate of cell lysis (1/h)
Ci_star = 100 #inhibitor saturation concentration (mM)
qi = 2.5*10**-10 #specific inhibitor production rate (1/h)
#Flow, volume and concentration
Fo = 0.001 #feed-rate (L/h)
Fi = 0.001 #feed-rate (L/h)
V = 3 #volume (L)
SG = 653 #glucose concentration in the feed (mM)
SQ = 58.8 #glutamine concentration in the feed (mM)
# create GEKKO parameter
t = np.linspace(0,120,121)
m.time = t
XT = m.Var(name='XT') #total cell density (cells/L)
XV = m.Var(lb=0, name='XV') #viable cell density (cells/L)
XD = m.Var(name='XD') #dead cell density (cells/L)
G = m.Var(value = 30, name='G') #glucose concentration (mM)
Q = m.Var(value = 4.5, name='Q') #glutamine concentration (mM)
L = m.Var(name='L') #lactate concentration (mM)
A = m.Var(name='A') #ammonia concentration (mM)
Ci = m.Var(name='Ci') #inhibitor concentration (mM)
mu = m.Var(name='mu') #growth rate (1/h)
Kd = m.Var(name='Kd') #death rate(1/h)
# create GEEKO equations
m.Equation(XT.dt() == mu*XV - Klysis*XD - XT*Fo/V)
m.Equation(XV.dt() == (mu - Kd)*XV - XV*Fo/V)
m.Equation(XD.dt() == Kd*XV - Klysis*XD - XV*Fo/V)
m.Equation(G.dt() == (Fi/V)*SG - (Fo/V)*G + (-mu/YXG - mG)*XV)
m.Equation(Q.dt() == (Fi/V)*SQ - (Fo/V)*Q + (-mu/YXQ - mQ)*XV - KdQ*Q)
m.Equation(L.dt() == -YLG*(-mu/YXG -mG)*XV-(Fo/V)*L)
m.Equation(A.dt() == -YAQ*(-mu/YXQ - mQ)*XV +KdQ*Q-(Fo/V)*A)
m.Equation(Ci.dt() == qi*XV - (Fo/V)*Ci)
m.Equation(mu.dt() == (mumax*G*Q*(Ci_star-Ci)) / (Ci_star*(KG+G)*(KQ+Q)*(L/KL + 1)*(A/KA + 1)))
m.Equation(Kd.dt() == Kdmax*(kmu/(mu+kmu)))
# solve ODE
m.options.IMODE = 4
m.open_folder()
m.solve(display = False)
plt.plot(m.time, XV.value)使用完全相同模式的文章:
1)利用GEKKO“哺乳动物细胞培养模型”链接的硕士论文:
2)描述方程的原始论文:“哺乳动物细胞生物过程的生物反应器尺度和操作模式的过程模型、比较和可转移性”。
链接:https://sci-hub.tw/10.1002/btpr.1664
3)使用该模型的控制系统的论文:“用非线性模型预测控制器控制喂入式哺乳类细胞生物过程的葡萄糖浓度控制”。
链接:https://sci-hub.tw/https://doi.org/10.1016/j.jprocont.2014.02.007
发布于 2019-12-10 23:12:42
有几个问题:
最后两个方程是代数的,而不是微分的。应该是mu.dt()==...
mu==...,很少有方程具有除以零的潜力。像x.dt() = z/y这样的方程可以用y * x.dt()==z代替,这样当y接近于零时,方程就变成了0 * x.dt() == z。
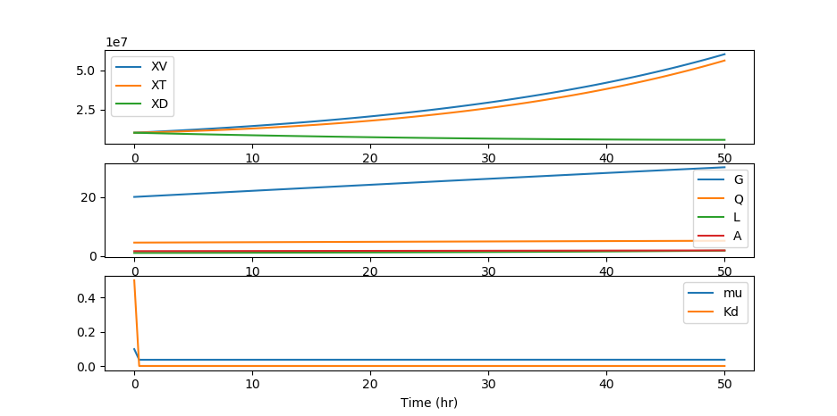
我输入了一些不同的值,并使用m.options.COLDSTART=2来帮助它找到一个初始解决方案。我还使用Intermediates来帮助可视化任何正在变大的术语。我把细胞浓度以每升数百万个细胞为单位来帮助缩小。

import numpy as np
from gekko import GEKKO
import matplotlib.pyplot as plt
m = GEKKO(remote=False) # create GEKKO model
#constants 3L continuous fed-batch
KdQ = 0.001 #degree of degradation of glutamine (1/h)
mG = 1.1e-10 #glucose maintenance coefficient (mmol/cell/hour)
YAQ = 0.90 #yield of ammonia from glutamine
YLG = 2 #yield of lactate from glucose
YXG = 2.2e8 #yield of cells from glucose (cells/mmol)
YXQ = 1.5e9 #yield of cells from glutamine (cells/mmol)
KL = 150 #lactate saturation constant (mM)
KA = 40 #ammonia saturation constant (mM)
Kdmax = 0.01 #maximum death rate (1/h)
mumax = 0.044 #maximum growth rate (1/h)
KG = 1 #glucose saturation constant (mM)
KQ = 0.22 #glutamine saturation constant (mM)
mQ = 0 #glutamine maintenance coefficient (mmol/cell/hour)
kmu = 0.01 #intrinsic death rate (1/h)
Klysis = 2e-2 #rate of cell lysis (1/h)
Ci_star = 100 #inhibitor saturation concentration (mM)
qi = 2.5e-10 #specific inhibitor production rate (1/h)
#Flow, volume and concentration
Fo = 0.001 #feed-rate (L/h)
Fi = 0.001 #feed-rate (L/h)
V = 3 #volume (L)
SG = 653 #glucose concentration in the feed (mM)
SQ = 58.8 #glutamine concentration in the feed (mM)
# create GEKKO parameter
t = np.linspace(0,50,121)
m.time = t
XTMM = m.Var(value=1,name='XT') #total cell density (MMcells/L)
XVMM = m.Var(value=1,lb=0, name='XV') #viable cell density (MMcells/L)
XDMM = m.Var(value=1.0,name='XD') #dead cell density (MMcells/L)
G = m.Var(value = 20, name='G') #glucose concentration (mM)
Q = m.Var(value = 4.5, name='Q') #glutamine concentration (mM)
L = m.Var(value=1,name='L') #lactate concentration (mM)
A = m.Var(value=1.6,name='A') #ammonia concentration (mM)
Ci = m.Var(value=0.1,name='Ci') #inhibitor concentration (mM)
mu = m.Var(value=0.1,name='mu') #growth rate (1/h)
Kd = m.Var(value=0.5,name='Kd') #death rate(1/h)
# scale back to cells/L from million cells/L
XT = m.Intermediate(XTMM*1e7)
XV = m.Intermediate(XVMM*1e7)
XD = m.Intermediate(XDMM*1e7)
e1 = m.Intermediate((mu*XV - Klysis*XD - XT*Fo/V)/1e7)
e2 = m.Intermediate(((mu - Kd)*XV - XV*Fo/V)/1e7)
e3 = m.Intermediate((Kd*XV - Klysis*XD - XV*Fo/V)/1e7)
e4 = m.Intermediate((Fi/V)*SG - (Fo/V)*G + (-mu/YXG - mG)*XV)
e5 = m.Intermediate((Fi/V)*SQ - (Fo/V)*Q + (-mu/YXQ - mQ)*XV - KdQ*Q)
e6 = m.Intermediate(-YLG*(-mu/YXG -mG)*XV-(Fo/V)*L)
e7 = m.Intermediate(-YAQ*(-mu/YXQ - mQ)*XV +KdQ*Q-(Fo/V)*A)
e8 = m.Intermediate(qi*XV - (Fo/V)*Ci)
e9a = m.Intermediate((Ci_star*(KG+G)*(KQ+Q)*(L/KL + 1)*(A/KA + 1)))
e9b = m.Intermediate((mumax*G*Q*(Ci_star-Ci)))
e10a = m.Intermediate((mu+kmu))
e10b = m.Intermediate(Kdmax*kmu)
# create GEEKO equations
m.Equation(XTMM.dt() == e1)
m.Equation(XVMM.dt() == e2)
m.Equation(XDMM.dt() == e3)
m.Equation(G.dt() == e4)
m.Equation(Q.dt() == e5)
m.Equation(L.dt() == e6)
m.Equation(A.dt() == e7)
m.Equation(Ci.dt() == e8)
m.Equation(e9a * mu == e9b)
m.Equation(e10a*Kd == e10b)
# solve ODE
m.options.IMODE = 4
m.options.SOLVER = 1
m.options.NODES = 3
m.options.COLDSTART = 2
#m.open_folder()
m.solve(display=False)
plt.figure()
plt.subplot(3,1,1)
plt.plot(m.time, XV.value,label='XV')
plt.plot(m.time, XT.value,label='XT')
plt.plot(m.time, XD.value,label='XD')
plt.legend()
plt.subplot(3,1,2)
plt.plot(m.time, G.value,label='G')
plt.plot(m.time, Q.value,label='Q')
plt.plot(m.time, L.value,label='L')
plt.plot(m.time, A.value,label='A')
plt.legend()
plt.subplot(3,1,3)
plt.plot(m.time, mu.value,label='mu')
plt.plot(m.time, Kd.value,label='Kd')
plt.legend()
plt.xlabel('Time (hr)')
plt.figure()
plt.plot(m.time, e1.value,'r-.',label='eqn1')
plt.plot(m.time, e2.value,'g:',label='eqn2')
plt.plot(m.time, e3.value,'b:',label='eqn3')
plt.plot(m.time, e4.value,'b--',label='eqn4')
plt.plot(m.time, e5.value,'y:',label='eqn5')
plt.plot(m.time, e6.value,'m--',label='eqn6')
plt.plot(m.time, e7.value,'b-.',label='eqn7')
plt.plot(m.time, e8.value,'g--',label='eqn8')
plt.plot(m.time, e9a.value,'r:',label='eqn9a')
plt.plot(m.time, e9b.value,'r--',label='eqn9b')
plt.plot(m.time, e10a.value,'k:',label='eqn10a')
plt.plot(m.time, e10b.value,'k--',label='eqn10b')
plt.legend()
plt.show()发布于 2019-12-10 21:44:38
最后,它不是一个编程问题,而是一个阅读方程并正确翻译它们的问题。
mu和Kd不是动态变量,它们是状态向量的普通函数(然后只包含维数8)。对于这类中间变量,Gekko具有构造函数m.Intermediate。
mu = m.Intermediate((mumax*G*Q*(Ci_star-Ci)) / (Ci_star*(KG+G)*(KQ+Q)*(L/KL + 1)*(A/KA + 1)), name='mu') #growth rate (1/h)
Kd = m.Intermediate(Kdmax*(kmu/(mu+kmu))) #death rate(1/h)通过这种更改和初始值5e8 ( XT和XV ),脚本给出了下面的情节,这些情节可以在引用的文章中找到。

https://stackoverflow.com/questions/59259514
复制相似问题