我从大脑电生理学上记录了一些电压数据如下所示:
请注意,波动<200 uV是实际数据,而巨大的峰值可能是偶尔与其他引用接触而产生的工件。我不是电气工程方面的专家,但是这个伪影看起来像一个高通滤波器的阶跃响应,用来去除直流偏移量。
现在我正试图通过曲线拟合来去除这些伪影。如果我检测到差异(数据)中的峰值,并将峰值周围的所有波形平均化,它看起来如下所示:
我的问题如下:
谢谢!
发布于 2020-03-30 22:44:35
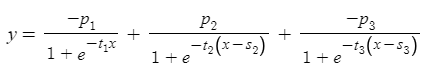
您可以尝试使用三个sigmoid函数的叠加,例如:

产生这样的结果:

当与本Desmos:https://www.desmos.com/calculator/ouuauyihdt中描述的参数一起使用时
您可能可以简化一些方程或添加其他参数,然后使用任何标准曲线拟合器来拟合您的数据。
https://stackoverflow.com/questions/60925237
复制相似问题