好的,我继续我的解析器生成器的冒险。这一次,我掌握了一种经典语法,据说这是一种LALR语法:
start -> a a
a -> "A" a
a -> "B"当我将它放入解析器生成器时,它会给出输出:
LIST OF STATES:
-----------------------
<0: S' -> . start , $
start -> . a a , $
a -> . "A" a , "A" / "B"
a -> . "B" , "A" / "B"
{NTerm(start): 1, Term(A): 2, Term(B): 3, NTerm(a): 4}>(3104365621624877555)
--------------------
<1: S' -> start . , $
{}>(3969511602615904846)
--------------------
<2: a -> "A" . a , "A" / "B"
a -> . "A" a , "A" / "B"
a -> . "B" , "A" / "B"
{Term(A): 2, Term(B): 3, NTerm(a): 5}>(5490562805113673592)
--------------------
<3: a -> "B" . , "A" / "B"
{}>(-4845209343945471034)
--------------------
<4: start -> a . a , $
a -> . "A" a , $
a -> . "B" , $
{Term(A): 6, Term(B): 7, NTerm(a): 8}>(598157158659875896)
--------------------
<5: a -> "A" a . , "A" / "B"
{}>(436327415052220213)
--------------------
<6: a -> "A" . a , $
a -> . "A" a , $
a -> . "B" , $
{Term(A): 6, Term(B): 7, NTerm(a): 9}>(5490562805113673592)
--------------------
<7: a -> "B" . , $
{}>(-4845209343945471034)
--------------------
<8: start -> a a . , $
{}>(5795088700656730485)
--------------------
<9: a -> "A" a . , $
{}>(436327415052220213)
POSSIBLE STATES TO JOIN: (2, 6), (3, 7), (5, 9)
ATTEMPTING CONVERSION TO LALR GRAMMAR...FAILED
CONTINUING WITH CLR(1)...这些状态与我在其他资源中可以看到的编译LALR语法的内容相匹配--这个步骤看起来没问题,它会产生正确的状态,就像我手工完成它一样。生成器建议--同样是其他消息来源所说的将CLR(1)语法转换为LALR --声明可以加入(2,6)、(3,7)、(5,9),但它无法这样做。当我查看生成的动作和goto表时,我可以看出为什么:

如您所见,状态2和6不能连接,因为存在不兼容的项s2 <> s6、s3 <> s7等等。
但最令我惊讶的是,发电机完成了工作,并产生了一个运行程序。当我在测试数据上运行这个程序时,它接受数据!所以,我的发电机产生了正确的表。
这是否意味着这种经典的" LALR“语法只有在人类手工编译时才是LALR?我的解析器生成器有什么不同?
发布于 2020-05-06 18:30:54
我认为问题在于:
您可以看到,
状态2和6不能连接,因为存在不兼容的项s2 <> s6、s3 <> s7等等。
其实这并不完全正确。请注意,在状态2中,shift项分别带您进入状态2和状态3。在状态6中,shift项分别带您进入6和7状态。但是那里没有不兼容性,因为您试图将状态2和状态6合并在一起,并将状态3和状态7合并在一起。换句话说,是的,这些变化现在说要去不同的地方,但是当你把所有拥有相同核心的国家一起崩溃之后,你最终会和他们一起说去同一个地方。
更广泛地说,我不认为合并两个LR(1)状态会引入"shift/shift“冲突。要了解为什么会这样,请注意每个LR(1)状态对应于LR(0)解析器中的状态,但每个LR项都使用一组查找项进行注释。在从LR(1)到LALR(1)的过程中,您在将LR(1)状态与忽略外观的相同项结合在一起,这意味着您实际上是将与相同LR(0)状态相对应的LR(1)状态组合在一起。
因此,如果有一个LR(1)状态S,它表示“转到符号a上的状态T”,那么对应于S的LR(0)状态有一个与T对应的LR(0)状态的转换,对于任何将与S合并的LR(1)状态也是如此。
在构建LALR(1)解析器过程中可能出现的唯一冲突是减少/减少冲突,这是您需要警惕的。
发布于 2020-05-06 18:01:39
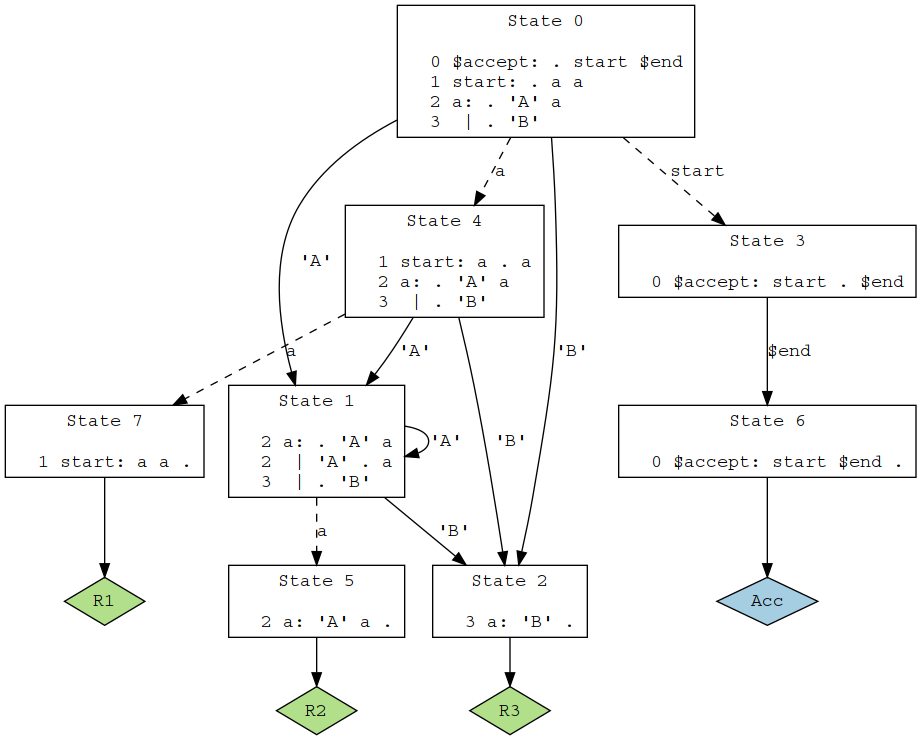
我不知道解析器生成器是做什么的,但是标准的解析器生成器在语法方面没有问题。例如,这里是bison的状态转换表,它是用以下方法生成的:
bison --report-file=aa.output --report=all --graph=aa.dot --output=/dev/null \
<(printf "%%%%\n%s" "start: a a; a: 'A' a | 'B'")
dot -o aa.png -Tpng aa.dot(Bison是一个非常方便的工具;即使您正在编写自己的解析器生成器,也可以利用它的功能。还请参见其XML输出。)

下面是稍微编辑过的报告文件(我删除了终端和非终端的列表,以及一些空白行,以减少空间)。
Grammar
0 $accept: start $end
1 start: a a
2 a: 'A' a
3 | 'B'
State 0
0 $accept: . start $end
1 start: . a a
2 a: . 'A' a
3 | . 'B'
'A' shift, and go to state 1
'B' shift, and go to state 2
start go to state 3
a go to state 4
State 1
2 a: . 'A' a
2 | 'A' . a
3 | . 'B'
'A' shift, and go to state 1
'B' shift, and go to state 2
a go to state 5
State 2
3 a: 'B' .
$default reduce using rule 3 (a)
State 3
0 $accept: start . $end
$end shift, and go to state 6
State 4
1 start: a . a
2 a: . 'A' a
3 | . 'B'
'A' shift, and go to state 1
'B' shift, and go to state 2
a go to state 7
State 5
2 a: 'A' a .
$default reduce using rule 2 (a)
State 6
0 $accept: start $end .
$default accept
State 7
1 start: a a .
$default reduce using rule 1 (start)https://stackoverflow.com/questions/61640542
复制相似问题