tl;dr:如何简化图,删除具有相同name值的边缘节点?
我有一个图定义如下:
import graphframes
from pyspark.sql import SparkSession
spark = SparkSession.builder.getOrCreate()
vertices = spark.createDataFrame([
('1', 'foo', '1'),
('2', 'bar', '2'),
('3', 'bar', '3'),
('4', 'bar', '5'),
('5', 'baz', '9'),
('6', 'blah', '1'),
('7', 'blah', '2'),
('8', 'blah', '3')
], ['id', 'name', 'value'])
edges = spark.createDataFrame([
('1', '2'),
('1', '3'),
('1', '4'),
('1', '5'),
('5', '6'),
('5', '7'),
('5', '8')
], ['src', 'dst'])
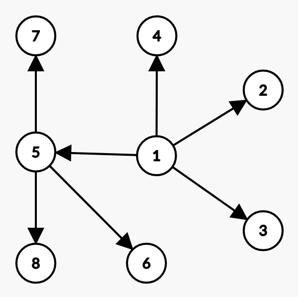
f = graphframes.GraphFrame(vertices, edges)它生成一个如下所示的图形(其中数字表示顶点ID):

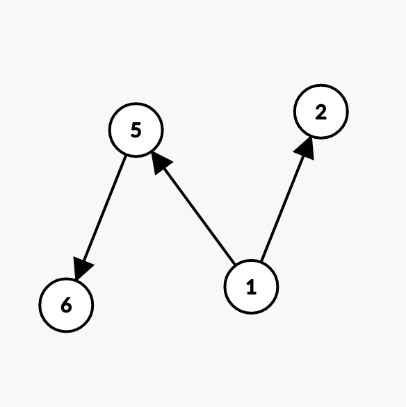
从等于1的顶点ID开始,我想简化这个图。这样,具有相似name值的节点将合并成一个节点。生成的图形如下所示:

注意,我们只有一个foo (ID 1)、一个bar (ID 2)、一个baz (ID 5)和一个blah (ID 6)。顶点的value是不相关的,只是为了表明每个顶点是唯一的。
我试图实现一种解决方案,但是它很麻烦,效率极低,而且我确信还有更好的方法(我也不认为它有效):
f = graphframes.GraphFrame(vertices, edges)
# Get the out degrees for our nodes. Nodes that do not appear in
# this dataframe have zero out degrees.
outs = f.outDegrees
# Merge this with our nodes.
vertices = f.vertices
vertices = f.vertices.join(outs, outs.id == vertices.id, 'left').select(vertices.id, 'name', 'value', 'outDegree')
vertices.show()
# Create a new graph with our out degree nodes.
f = graphframes.GraphFrame(vertices, edges)
# Find paths to all edge vertices from our vertex ID = 1
# Can we make this one operation instead of two??? What if we have more than two hops?
one_hop = f.find('(a)-[e]->(b)').filter('b.outDegree is null').filter('a.id == "1"')
one_hop.show()
two_hop = f.find('(a)-[e1]->(b); (b)-[e2]->(c)').filter('c.outDegree is null').filter('a.id == "1"')
two_hop.show()
# Super ugly, but union the vertices from the `one_hop` and `two_hop` above, and unique
# on the name.
vertices = one_hop.select('a.*').union(one_hop.select('b.*'))
vertices = vertices.union(two_hop.select('a.*').union(two_hop.select('b.*').union(two_hop.select('c.*'))))
vertices = vertices.dropDuplicates(['name'])
vertices.show()
# Do the same for the edges
edges = two_hop.select('e1.*').union(two_hop.select('e2.*')).union(one_hop.select('e.*')).distinct()
# We need to ensure that we have the respective nodes from our edges. We do this by
# Ensuring the referenced vertex ID is in our `vertices` in both the `src` and the `dst`
# columns - This does NOT seem to work as I'd expect!
edges = edges.join(vertices, vertices.id == edges.src, "left").select("src", "dst")
edges = edges.join(vertices, vertices.id == edges.dst, "left").select("src", "dst")
edges.show()是否有更简单的方法来删除节点(及其对应的边缘),以便边缘节点在其name上是唯一的
发布于 2020-09-02 08:48:50
为什么不简单地将name列作为新的id
import graphframes
vertices = spark.createDataFrame([
('1', 'foo', '1'),
('2', 'bar', '2'),
('3', 'bar', '3'),
('4', 'bar', '5'),
('5', 'baz', '9'),
('6', 'blah', '1'),
('7', 'blah', '2'),
('8', 'blah', '3')
], ['id', 'name', 'value'])
edges = spark.createDataFrame([
('1', '2'),
('1', '3'),
('1', '4'),
('1', '5'),
('5', '6'),
('5', '7'),
('5', '8')
], ['src', 'dst'])
#create a dataframe with only one column
new_vertices = vertices.select(vertices.name.alias('id')).distinct()
#replace the src ids with the name column
new_edges = edges.join(vertices, edges.src == vertices.id, 'left')
new_edges = new_edges.select(new_edges.dst, new_edges.name.alias('src'))
#replace the dst ids with the name column
new_edges = new_edges.join(vertices, new_edges.dst == vertices.id, 'left')
new_edges = new_edges.select(new_edges.src, new_edges.name.alias('dst'))
#drop duplicate edges
new_edges = new_edges.dropDuplicates(['src', 'dst'])
new_edges.show()
new_vertices.show()
f = graphframes.GraphFrame(new_vertices, new_edges)输出:
+---+----+
|src| dst|
+---+----+
|foo| baz|
|foo| bar|
|baz|blah|
+---+----+
+----+
| id|
+----+
|blah|
| bar|
| foo|
| baz|
+----+

https://stackoverflow.com/questions/63627618
复制相似问题