我想用胶乳命令\fint在ioslides。这个逗号包含在Latex包"esint“中。我在Rmarkdown中使用了下面的代码来包含这个包。它似乎不起作用。
header-includes:
- \usepackage{esint}
output:
ioslides_presentation在R演示中,人们不能使用Latex包,这是真的吗?如果是这样的话,是否有足够的时间使用\fint?
发布于 2020-09-12 09:43:33
MathJax不是LaTeX:它处理类似于LaTeX的输入,但是它在幕后的操作方式完全不同: MathJax只使用Javascript实现突出的数学模式LaTeX宏。LaTeX包所使用的大多数特性都缺失了,这意味着您不能简单地将一个LaTeX包加载到ioslides中(或者任何其他带有HTML的Rmarkdown项目)并期望它能够工作。
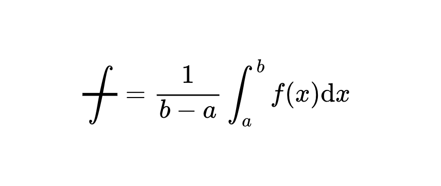
我认为您能得到的最接近的是一个清除宏,例如与MathJax扩展围封一起提供的宏。这看上去有点像样:
\begin{align}
\require{enclose}
\enclose{horizontalstrike}{\int} = \frac{1}{b-a}\int_a^b f(x) \mathrm{d}x
\end{align}

https://stackoverflow.com/questions/63852683
复制相似问题