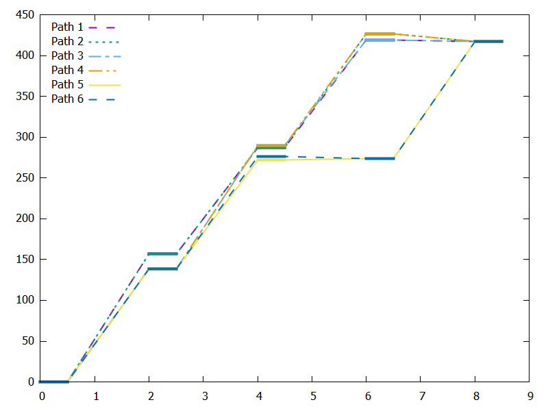
我有一个唯一的数据集(行数和列数可以随情况而异)。
0.0 0 0 0 0 0 0
0.5 0 0 0 0 0 0
2.0 156.626 156.626 138.354 138.354 138.354 138.354
2.5 156.626 156.626 138.354 138.354 138.354 138.354
4.0 287.268 287.268 289.808 289.808 271.829 276.304
4.5 287.268 287.268 289.808 289.808 271.829 276.304
6.0 418.931 426.263 418.933 426.259 273.572 273.559
6.5 418.931 426.263 418.933 426.259 273.572 273.559
8.0 417.211 417.21 417.207 417.211 417.207 417.212
8.5 417.211 417.21 417.207 417.211 417.207 417.212正如您所看到的,它有一个独特的数据集组合(常量,然后更改,常量,然后更改)。我想在没有任何破折号类型的实心直线上绘制常量数据集,而不是在直线上的数据将是不同的破折号类型。我需要一个脚本( gnuplot或matplotlib),它可以按照所附的图形绘制数据。

举个例子,在这个图中,我只显示了三行。
我已经创建了下面的gnuplot脚本,它为我提供了所需的地块(

但它没有给我的水平线,实心没有任何破折号类型。
CASE = "New.dat"
Xi=-2 ; Xf=22; Xs=1
AYf=500 ; AYs=100
reset
set terminal postscript eps enhanced size 20cm,20cm color solid lw 3 "Times-Bold" 40
set output "data.eps"
set multiplot \
layout 1,1 rowsfirst \
title "{/:Bold=40 }" \
margins screen 0.15,0.85,0.11,0.950 \
spacing screen 0.00,0.03
set key spacing 1.2
set mxtics 2
set mytics 2
unset key
unset arrow
set arrow from Xi ,0.00 to Xf,000 nohead lw 3.5 lc rgb "blue" lt 0
set xrange [Xi:Xf]
set yrange [-50:AYf]
set key at graph 0.63, 0.95 font "Times-bold, 30"
set xtics Xi,Xs,Xf format ""
set ytics 0,AYs,AYf format "%g" font "Times-bold, 40"
plot CASE u 1:2 title "Path-1" w l lc 1 lw 3 dashtype 2 , CASE u 1:3 title "Path-2" w l lc 2 lw 3 dashtype 3 , CASE u 1:4 title "Path-3" w l lc 4 lw 3 dashtype 4 , CASE u 1:5 title "Path-4" w l lc 6 lw 3 dashtype 5, CASE u 1:6 title "Path-5" w l lc 7 lw 3 dashtype 6 , CASE u 1:7 title "Path-6" w l lc 9 lw 3 dashtype 9这是来自theozh的剧本

发布于 2020-11-12 09:12:03
在侏儒情节中我会这样做。画两次你的数据
with lines和不同的仪表符类型的with vectors,但前提是y-值不改变。要区分虚线有点困难,因为它们中的一些是在对方上面的。您需要对此进行一些优化。
代码:
### plot intermittent horizontal lines
reset session
$Data <<EOD
0.0 0 0 0 0 0 0
0.5 0 0 0 0 0 0
2.0 156.626 156.626 138.354 138.354 138.354 138.354
2.5 156.626 156.626 138.354 138.354 138.354 138.354
4.0 287.268 287.268 289.808 289.808 271.829 276.304
4.5 287.268 287.268 289.808 289.808 271.829 276.304
6.0 418.931 426.263 418.933 426.259 273.572 273.559
6.5 418.931 426.263 418.933 426.259 273.572 273.559
8.0 417.211 417.21 417.207 417.211 417.207 417.212
8.5 417.211 417.21 417.207 417.211 417.207 417.212
EOD
set key top left
set datafile missing NaN # apparently necessary for gnuplot 5.2.2
plot for [i=2:7] $Data u 1:i w l lw 2 lc i-1 dt i title sprintf("Path %d",i-1), \
for [i=2:7] y1=x1=NaN $Data u (x0=x1,x1=column(1),x0):(y0=y1,y1=column(i)):(x1-x0):(y0==y1?0:NaN) w vectors lw 4 lc i-1 nohead notitle
### end of code结果:

发布于 2020-11-12 08:56:30
计算与您的数据的平台和增加段相对应的指数。然后用分段的方式画出来。这是第一条路的情节。要绘制所有路径,可以使用另一个for-循环。也许有一个更简单的解决方案,但这应该是可行的。
# path data
x = np.array([0. , 0.5, 2. , 2.5, 4. , 4.5, 6. , 6.5, 8. , 8.5])
y = np.array([0., 0., 156.626, 156.626, 287.268, 287.268, 418.931, 418.931, 417.211, 417.211])
# indices of plateau and increasing
idx_plat = np.where(np.diff(y) == 0)[0]
idx_incr = np.where(np.diff(y) != 0)[0]
# color for first path
color = 'C0'
# text setup
texts = ['A', 'B', 'C', 'D', 'E']
off = 10 # y offset for text
# plot plateau and increasing segments in a loop
for i in range(len(idx_plat) - 1):
x_sub = x[idx_plat[i]:idx_plat[i+1]]
y_sub = y[idx_plat[i]:idx_plat[i+1]]
plt.plot(x_sub, y_sub, linestyle = '--', color = color)
# annotate text
plt.text(x_sub.mean(), y_sub[0] + off, texts[i])
for j in range(len(idx_incr) - 1):
x_sub = x[idx_incr[j]:idx_incr[j+1]]
y_sub = y[idx_incr[j]:idx_incr[j+1]]
plt.plot(x_sub, y_sub, linestyle = '-', color = color)
# plot last segment twice with label to create legend
plt.plot(x_sub, y_sub, linestyle = '-', color = color, label = label)
plt.legend(loc = 'best')https://stackoverflow.com/questions/64799752
复制相似问题