我试着把我的观点和一条线联系起来,就像这样,但为了我的情节:

我的情节是这样的:

我试过使用geom_segment,但它没有起作用。我的基本代码是:
ggplot(tidydf, aes(Genome_size, `Trio_number`, color = Group)) +
geom_point() + scale_y_continuous(breaks = seq(0, 20, by = 1)) +
ylab("Trio number") + xlab("Genome size (kb)") + theme_dotplot + scale_x_continuous(labels = comma) + theme(legend.position = "bottom") + scale_color_brewer(palette = "Set1") + theme(legend.title=element_blank()) + guides(colour = guide_legend(override.aes = list(size=4))) theme(legend.key=element_rect(fill='gray96')) +
theme(plot.background = element_rect(fill = 'gray96')) + theme(legend.title = element_text(size=10)) + theme(text=element_text(size=12, family="Gujarati Sangam MN")) + theme(axis.title.x = element_text(vjust = 0, size = 11), axis.title.y = element_text(vjust = 2, size = 11)) + theme(axis.text = element_text(color = "black", size = 9))我将如何使用geom_segment对我的数据执行此操作?谢谢你的帮忙!
更新:可复制代码
library(ggplot2)
library(scales)
set.seed(8675309)
tidydf <- data.frame(
Genome_size = sample(1000:7000, 30, replace = T),
Trio_number = sample(1:20, 30, replace = T),
Group = sample(c('Free-living', 'Gut', 'Pathogen'), 30, replace = T)
)
p <-
ggplot(tidydf, aes(Genome_size, `Trio_number`, color = Group)) +
geom_point() +
scale_y_continuous(breaks = seq(0, 20, by = 1)) +
ylab("Trio number") + xlab("Genome size (kb)") +
theme_light() +
scale_x_continuous(labels = comma) +
scale_color_brewer(palette = "Accent") +
guides(colour = guide_legend(override.aes = list(size=4))) +
theme(
legend.position = "bottom",
legend.key=element_rect(fill='gray96'),
plot.background = element_rect(fill = 'gray96'),
legend.title =element_text(size=10),
text=element_text(size=12),
axis.title.x = element_text(vjust = 0, size = 11),
axis.title.y = element_text(vjust = 2, size = 11),
axis.text = element_text(color = "black", size = 9),
# to make the theme look more similar to OP example
panel.grid.major.x = element_blank(),
panel.grid.minor.x = element_blank()
)
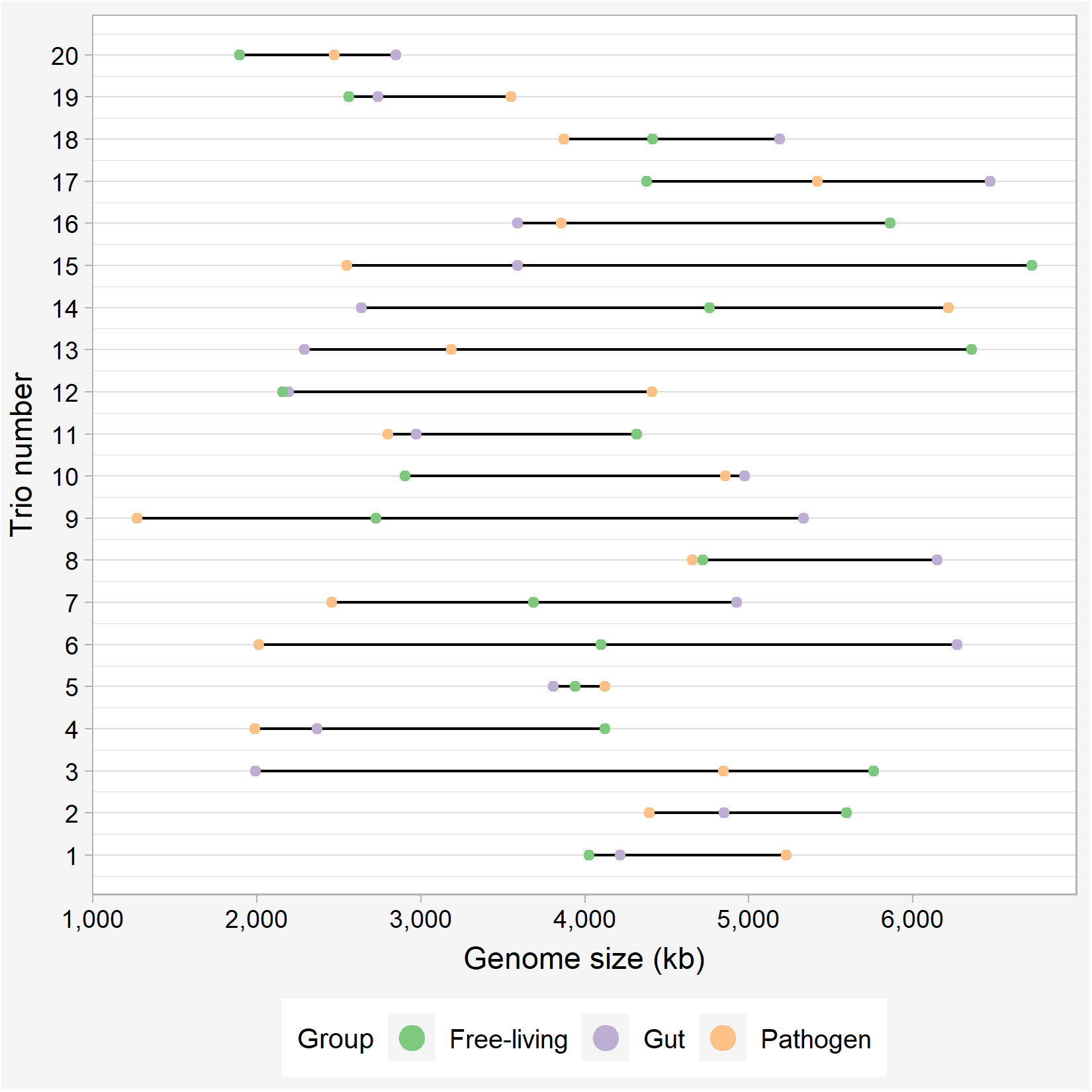
p更新:我的数据
structure(list(Trio_number = c(1, 1, 1, 2, 2, 2, 3, 3, 3, 4,
4, 4, 5, 5, 5, 6, 6, 6, 7, 7, 7, 8, 8, 8, 9, 9, 9, 10, 10, 10,
11, 11, 11, 12, 12, 12, 13, 13, 13, 14, 14, 14, 15, 15, 15, 16,
16, 16, 17, 17, 17, 18, 18, 18, 19, 19, 19, 20, 20, 20), `Accession ID` = c("NC_007530.2",
"NC_000964.3", "NZ_CP053376.1", "NZ_CP061527.1", "NZ_CP009756.1",
"NZ_CP050508.1", "NZ_CP010820.1", "NC_021181.2", "NZ_CP009909.1",
"NZ_LS483427.1", "NZ_CP026999.1", "NC_014151.1", "NZ_CP019870.1",
"NZ_CP030775.1", "NC_015687.1", "NZ_CP024727.1", "NZ_CP040530.1",
"NZ_CP032489.1", "NZ_CP022389.1", "NZ_CP054012.1", "NC_014734.1",
"NZ_AP014857.1", "NZ_CP060111.1", "NC_008576.1", "NC_003103.1",
"NC_016845.1", "NZ_CP026328.2", "NC_003197.2", "NZ_CP033744.1",
"NC_014414.1", "NC_004557.1", "NZ_CP030777.1", "NC_014624.2",
"NC_000962.3", "NZ_CP028341.1", "NC_013124.1", "NZ_CP029543.1",
"NZ_CP006712.1", "NC_013739.1", "NZ_AP022576.1", "NZ_AP012326.1",
"NC_009664.2", "NC_008593.1", "NZ_LR699011.1", "NZ_LR134338.1",
"NZ_CP028842.1", "NZ_CP036345.1", "NC_016584.1", "NC_011725.1",
"NZ_CP012938.1", "NZ_CP023665.1", "NZ_LS483376.1", "NZ_LN877293.1",
"NZ_LT605205.1", "NZ_CP014150.1", "NZ_CP039729.1", "NC_016052.1",
"NZ_CP008747.1", "NZ_CP023011.2", "NC_018631.1"), Group = c("Pathogen",
"Gut", "Free-living", "Pathogen", "Gut", "Free-living", "Pathogen",
"Gut", "Free-living", "Pathogen", "Gut", "Free-living", "Pathogen",
"Gut", "Free-living", "Pathogen", "Gut", "Free-living", "Pathogen",
"Gut", "Free-living", "Pathogen", "Gut", "Free-living", "Pathogen",
"Gut", "Free-living", "Pathogen", "Gut", "Free-living", "Pathogen",
"Gut", "Free-living", "Pathogen", "Gut", "Free-living", "Pathogen",
"Gut", "Free-living", "Pathogen", "Gut", "Free-living", "Pathogen",
"Gut", "Free-living", "Pathogen", "Gut", "Free-living", "Pathogen",
"Gut", "Free-living", "Pathogen", "Gut", "Free-living", "Pathogen",
"Gut", "Free-living", "Pathogen", "Gut", "Free-living"), Genome_size = c(5227.419,
4215.606, 4026.648, 4393.662, 4848.754, 5598.454, 4843.789, 1991.579,
5762.608, 1988.85, 2365.873, 4123.179, 4124.384, 3810.128, 3942.462,
2011.558, 6271.157, 4099.663, 2455.405, 4926.033, 3685.504, 4657.167,
6149.586, 4719.581, 1268.755, 5333.942, 2726.366, 4857.45, 4974.986,
2902.643, 2799.251, 2970.937, 4316.707, 4411.532, 2192.428, 2158.157,
3187.112, 2288.919, 6359.369, 6219.859, 2635.669, 4761.183, 2547.72,
3592.125, 6726.998, 3858.511, 3590.716, 5863.081, 5419.036, 6472.489,
4376.831, 3874.791, 5188.967, 4414.963, 3550.458, 2736.723, 2562.72,
2472.129, 2845.651, 1893.499)), row.names = c(NA, -60L), class = c("tbl_df",
"tbl", "data.frame"))我试试geom_line!谢谢
发布于 2021-03-21 12:49:14
谢谢你张贴你的例子。在这种情况下,@stefan有正确的答案。只需使用geom_line(),并赋予它Trio_number的group=美学。当您想要使用列进行区分时,可以使用group美学修饰符,但不希望每个组看起来不同。
在您的问题中,您需要按Trio_number分组的单独行,但它们都应该是相同的颜色。因此,您所需要做的就是将以下一行添加到您的绘图代码中:
# plot code before geom_point()... +
geom_line(aes(group=Trio_number), color='black') +
# geom_point() and all the rest of the plot code

https://stackoverflow.com/questions/66721053
复制相似问题