首页
学习
活动
专区
圈层
工具
发布
社区首页 >问答首页 >哪一个是正确的YOLOv4全损失函数公式?

哪一个是正确的YOLOv4全损失函数公式?
EN

Stack Overflow用户
提问于 2021-04-01 08:57:57
回答 1查看 2.2K关注 0票数 1

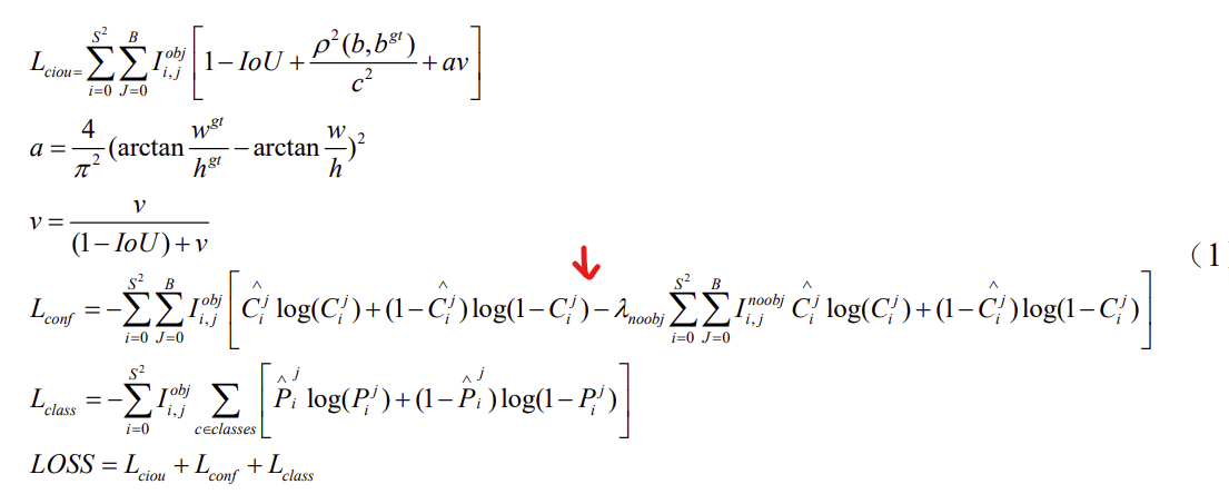
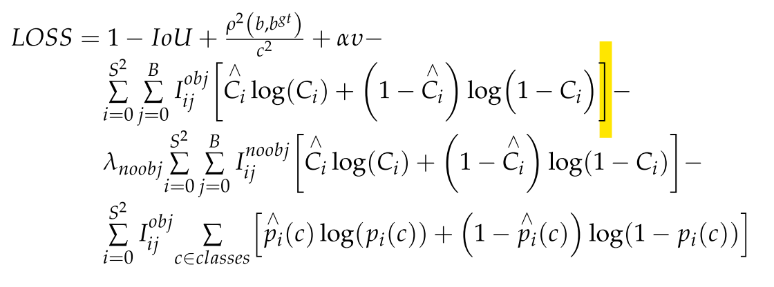
我在主要的YOLOv4论文中找不到总损失函数。然而,我从两篇不同的论文中发现了两个不同的公式(在下面的图像中突出显示/标记了差异)。哪个公式是正确的YOLOv4?的默认全损公式

公式1 - 来源

公式2 - 来源

EN

回答 1

Stack Overflow用户

回答已采纳

发布于 2021-04-08 17:46:53

公式1是更正确的公式,因为公式的那个项是检测到对象时的置信损失。而置信损失是基于交叉熵误差的。

票数 0
EN
页面原文内容由Stack Overflow提供。腾讯云小微IT领域专用引擎提供翻译支持
原文链接:

https://stackoverflow.com/questions/66901445

复制
相关文章

相似问题

领券
问题归档专栏文章快讯文章归档关键词归档开发者手册归档开发者手册 Section 归档