我正在做电力输出的预测,我有不同的数据集,从200到4000的观测值不等。我计算了预测,但不知道如何计算R中的RMSE值和相关系数R(相关系数),我尝试在excel上计算它,结果为0.0078。所以我基本上有两个问题。
发布于 2021-04-24 22:08:43
这里有两个函数,一个用于计算MSE,另一个调用第一个函数并获取平方根RMSE。
这些函数接受一个合适的模型,而不是一个数据集。例如,lm、glm和许多其他的输出。
mse <- function(x, na.rm = TRUE, ...){
e <- resid(x)
mean(e^2, na.rm = TRUE)
}
rmse <- function(x, ...) sqrt(mse(x, ...))就像我在对这个问题的评论中说的,一个价值本身并不是很好,与其他合适的模型相比,它是好的。
发布于 2021-04-24 19:37:22
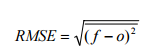
均方误差(RMSE)是预测误差的标准差。预测误差是衡量离回归线数据点有多远;RMSE是衡量这些残差分布的尺度。换句话说,它告诉您数据是如何集中在最适合的范围内的。均方误差通常用于气候学、预报和回归分析,以验证实验结果。
公式是:

其中:
f = forecasts (expected values or unknown results),
o = observed values (known results).平方差上方的标杆是平均值(类似于x̄)。可以用以下略有不同的符号来编写相同的公式:

其中:
Σ = summation (“add up”)
(zfi – Zoi)2 = differences, squared
N = sample size.您可以使用您想要的方法,因为这两个方法都反映了您所引用的相同的"R“是pearson系数,它定义了数据中的方差量。
进入Question2时,一个好的rmse值总是取决于rmse的上、下界,而一个好的值应该总是较小,这样就可以减少错误的探测。
https://stackoverflow.com/questions/67246615
复制相似问题