我在做盲解伏。
在迭代L2norm回归时,我希望同时更新PSF,当我查找它时,我在Matlab中找到了一个名为deconvblind的函数:
lJ,PSF =反盲(i,INITPSF)用极大似然算法对图像I进行反卷积,同时返回去模糊图像J和恢复的点扩散函数PSF。输入数组I和您对PSF的初始猜测INITPSF可以是数字数组或单元格数组。(当您想要执行额外的反卷积时使用单元格数组,从初始反褶积结束的地方开始。请参阅恢复反褶积以获得更多信息。)恢复的PSF是一个与INITPSF相同大小的正数组,标准化后其和加为1。
在Python中有类似于deconvblind的函数吗?
发布于 2021-09-05 09:26:24
下面是如何使用Richardson露西算法在python中实现盲反褶积的方法:
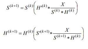
盲解模糊(如2,4.中提出的)的迭代上升步骤,具有未知的 PSF H、损坏的图像X和恢复的图像SE 211如下所示:

下面的代码展示了我在1中提出的迭代贝叶斯盲反褶积算法的实现,主要是通过频域操作(而不是在3.中的空域实现)。它类似于3.中的非盲实现,只是需要在每次迭代时估计未知的模糊PSF (从随机的PSF开始),假设在3.中已知。
import numpy as np
from scipy.signal import fftconvolve
def richardson_lucy_blind(image, psf, original, num_iter=50):
im_deconv = np.full(image.shape, 0.1, dtype='float') # init output
for i in range(num_iter):
psf_mirror = np.flip(psf)
conv = fftconvolve(im_deconv, psf, mode='same')
relative_blur = image / conv
im_deconv *= fftconvolve(relative_blur, psf_mirror, mode='same')
im_deconv_mirror = np.flip(im_deconv)
psf *= fftconvolve(relative_blur, im_deconv_mirror, mode='same')
return im_deconv下一个动画分别显示了RL算法的非盲版本和盲版本的图像恢复。

参考资料:
https://stackoverflow.com/questions/68270030
复制相似问题