在本例中:
S -> aA
A -> Aa|b由上述语法生成的语言(字符串集)是无限的。有可能找到它的LR(0)状态机吗?
发布于 2021-07-06 03:09:01
语法没有“一个”LR(0)状态。您可以为语法构造一个LR(0)状态机;该机器有几个状态。
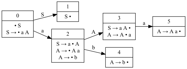
下面是用格莱美管生成的用于语法的LR(0)状态机

上面的状态机没有显示约简转换,但它们可以从每种状态中的项中推断出来;在结束时带有..项的状态是一个约简状态(状态1、3、4和5)。由于LR(0)解析器可能无法参考下一个令牌来决定是否进行约简,所以语法不是LR(0);状态3具有转换和约简注释1。
虽然语法不是LR(0),但是LR(0)状态机仍然很重要,因为SLR(1)和LALR(1)解析器使用相同的状态机,它们的状态完全相同。因此,构造SLR(1)和LALR(1)解析器从构造LR(0)状态机开始。不同之处在于SLR(1)和LALR(1)解析器确实使用(1)前瞻性符号来确定还原动作。使用这两种算法之一,状态3中的冲突将得到解决,因为约简只与状态机中没有转换的b的前瞻相关联。
标准LR(1)解析器不使用相同的状态机(在大多数情况下);在CLR解析器中,有可能有两种状态具有相同的项集。有时可以解决冲突。但在这种语法中,这是不必要的。
备注
$)中添加一个输入结束标记。输入结束标记必须是语法中没有出现的新符号.由于新语言中的每个句子都以$结尾,而且除了末尾没有任何句子包含$,所以句子不可能成为另一个句子的前缀。
因此,要使该语法成为LR(0),只需将规则S -> a A更改为S -> a A $即可。这解决了状态3中的shift-还原冲突,并且仍然产生了无限的语言。发布于 2021-07-10 13:47:47
它不是LR(0)。格莱美管告诉我:
LR(0)不是LR(0) -它包含一个移位-减少冲突。
添加E -> S end-of-input .也无济于事,您需要选择LR(1)。

https://stackoverflow.com/questions/68263796
复制相似问题