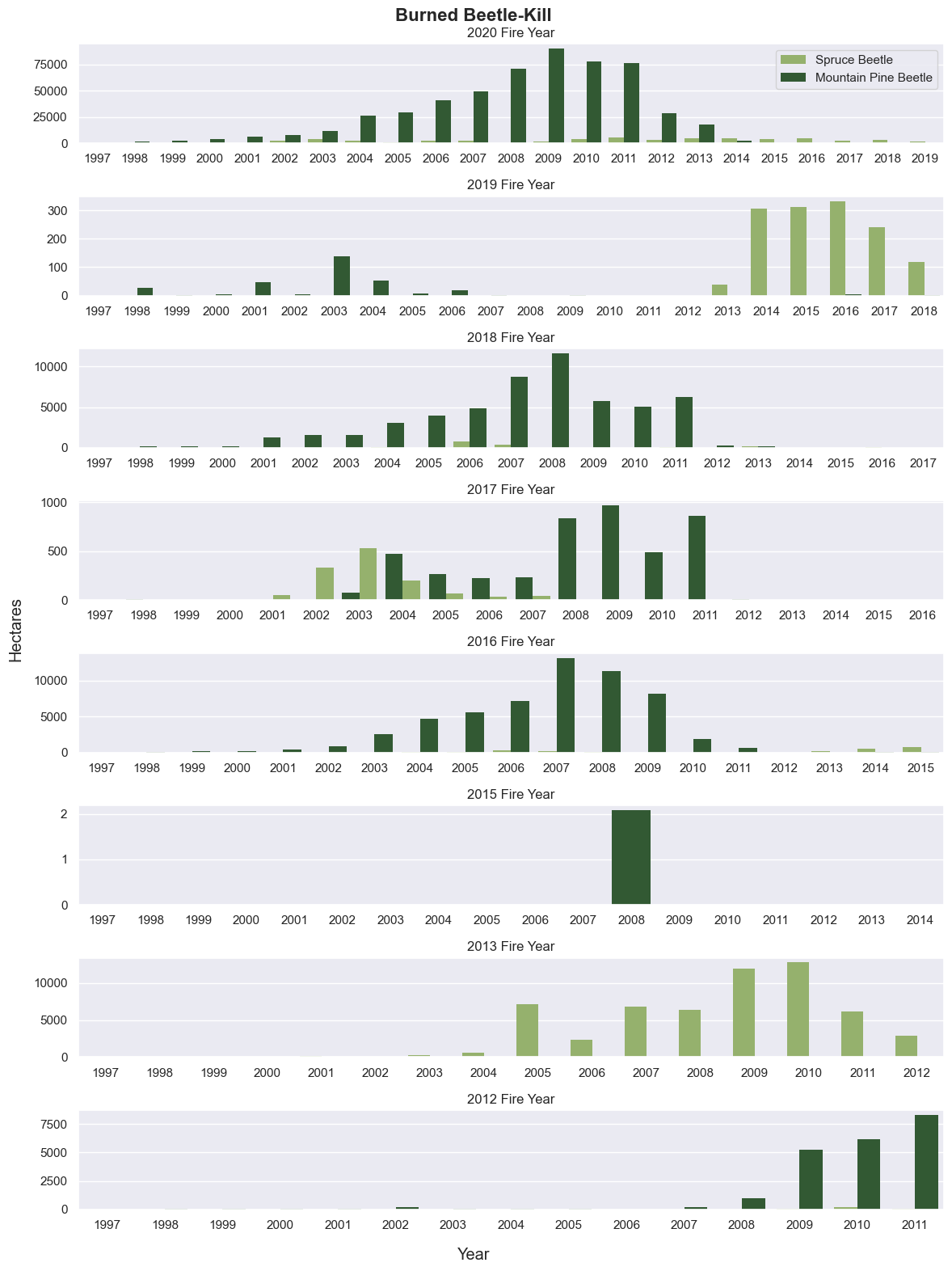
我有一个有8个子图的图。每个子图都是一个条形图,有两类:云杉甲虫和山松甲虫。在所有的子地块中,云杉甲虫都先于山松甲虫,除了第四个小块(2017年火年)。为什么会这样呢?
有没有办法让2017年的火场上有云杉甲虫先于山松甲虫?提前谢谢。

fig, axes = plt.subplots(8, figsize=(12,16), dpi=100)
# list of axes
axelocs = [axes[0], axes[1], axes[2], axes[3], axes[4], axes[5], axes[6], axes[7]]
dfs = [df_2020, df_2019, df_2018, df_2017, df_2016, df_2015, df_2013, df_2012]
labels = ['2020 Fire Year', '2019 Fire Year', '2018 Fire Year', '2017 Fire Year', '2016 Fire Year', '2015 Fire Year', '2013 Fire Year', '2012 Fire Year']
# generate each axe
for axeloc, df, label in zip(axelocs, dfs, labels):
palette = {'Spruce Beetle': '#97BC62FF', 'Mountain Pine Beetle': '#2C5F2D'}
sns.barplot(ax=axeloc,
x='SURVEY_YEA',
y='Hectares',
hue='DCA_COMMON',
linewidth=0,
data=df,
palette=palette,
).set(title=label,
ylabel=None,
xlabel=None)
axeloc.legend([],[], frameon=False)
axelocs[0].legend()
fig.suptitle('Burned Beetle-Kill', fontsize=16, fontweight='bold')
fig.supxlabel('Year')
fig.supylabel('Hectares')
plt.tight_layout()
plt.show()发布于 2021-10-02 13:24:46
强制变量的hue_order:
sns.barplot(ax=axeloc,
x='SURVEY_YEA',
y='Hectares',
hue='DCA_COMMON',
linewidth=0,
data=df,
palette=palette,
hue_order=['Spruce Beetle', 'Mountain Pine Beetle'] # <- HERE
).set(title=label,
ylabel=None,
xlabel=None)https://stackoverflow.com/questions/69417273
复制相似问题