让我们考虑以下示例(来自海运文档):
titanic = sns.load_dataset("titanic")
fg = sns.catplot(x="age", y="embark_town",
hue="sex", row="class",
data=titanic[titanic.embark_town.notnull()],
orient="h", height=2, aspect=3, palette="Set3",
kind="violin", dodge=True, cut=0, bw=.2)输出:

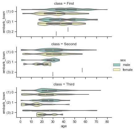
我想改变y轴上的勾号,例如在括号中加上一个数字:(1)南安普顿,(2)瑟堡,(3)皇后镇。我看过这个回答,我试过使用FuncFormatter,但是我得到了一个奇怪的结果。这是我的代码:
titanic = sns.load_dataset("titanic")
fg = sns.catplot(x="age", y="embark_town",
hue="sex", row="class",
data=titanic[titanic.embark_town.notnull()],
orient="h", height=2, aspect=3, palette="Set3",
kind="violin", dodge=True, cut=0, bw=.2)
from matplotlib.ticker import FuncFormatter
for ax in fg.axes.flat:
ax.yaxis.set_major_formatter(ticker.FuncFormatter(lambda x, pos: f'({1 + pos}) {x}'))这是输出:

看起来x和lambda中的pos是一样的。我原以为x是滴答标签的价值(即南安普敦、瑟堡、昆斯敦)。我做错了什么?
软件版本:
matplotlib 3.4.3
seaborn 0.11.2发布于 2021-11-02 13:53:26
.get_yticklabels()为每个子图获取[Text(0, 0, 'Southampton'), Text(0, 1, 'Cherbourg'), Text(0, 2, 'Queenstown')].set_yticklabels设置新的文本标签python 3.8.12**,** matplotlib 3.4.3**,** seaborn 0.11.2中测试的import seaborn as sns
titanic = sns.load_dataset("titanic")
fg = sns.catplot(x="age", y="embark_town",
hue="sex", row="class",
data=titanic[titanic.embark_town.notnull()],
orient="h", height=2, aspect=3, palette="Set3",
kind="violin", dodge=True, cut=0, bw=.2)
for ax in fg.axes.flat: # iterate through each subplot
labels = ax.get_yticklabels() # get the position and text for each subplot
for label in labels:
_, y = label.get_position() # extract the y tick position
txt = label.get_text() # extract the text
txt = f'({y + 1}) {txt}' # update the text string
label.set_text(txt) # set the text
ax.set_yticklabels(labels) # update the yticklabels

https://stackoverflow.com/questions/69810007
复制相似问题