描述
定义函数
unsigned mod(unsigned a, unsigned b, unsigned c);函数是计算和返回a* b %c的结果。测试a、b、c的范围必须大于0且小于2^31,程序不能使用64位整数(例如长类型或__int64)来求解。
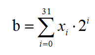
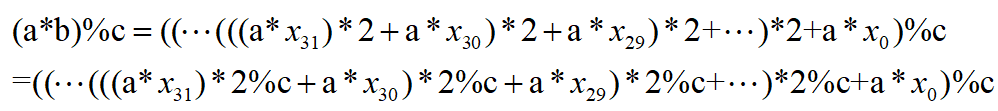
问题: a*b可能溢出(超出32位无符号int类型的表示范围)。为了解决这个问题,可以使用以下算法。假设无符号变量b的每个二进制位为xi (i=0,1,…),i=0是最低位,i=31是最高位,那么

和

在上述公式中,a*xi的结果要么是a,要么是0;*2运算可以通过向左移动1位来实现(整数小于2^31 *2,结果必须小于2^32,并且不会发生溢出);%c的结果小于c,c小于2^31,它和a的和不会溢出。编写完整的程序,用迭代的方法实现上述算法。
我的密码
#pragma warning(disable:4996)
#include <stdio.h>
unsigned mod(unsigned a, unsigned b, unsigned c) {
unsigned sum = a * ((b >> 30) & 1);
for (int i = 29; i >= 0; i--) {
sum = (sum << 1) % c + a * ((b >> i) & 1);
}
return sum % c;
}
int main() {
//to achieve the subject requirements
unsigned a, b, c;
printf("Input unsigned integer numbers a, b, c:\n");
scanf("%u %u %u", &a, &b, &c);
printf("%u*%u%%%u=%u\n", a, b, c, mod(a, b, c));
//to verify output results
unsigned long long ab, bb, cb;
ab = a;
bb = b;
cb = c;
printf("%llu*%llu%%%llu=%llu", ab, bb, cb, ab * bb % cb);
}问题
当用较小的数字(如100*500/3)执行计算时,结果是正确的。但是当这个数字接近问题的上限时(比如2147483647*2147483647/3),你就会得到错误的答案。我不知道为什么会这样,因为我只是根据问题中给出的公式来编程,我也不知道数学原理。
发布于 2021-11-06 10:04:41
正如@Uduru已经指出的,sum可能会大于2^31,因此,左移位将导致溢出。
为了防止这一点,请记住:左移1等于乘2。所以,(sum << 1) % c和(sum * 2) % c是一样的。现在,模块规则声明如下:
(a * b) mod c == ((a mod c) * (b mod c)) mod c. 因此,您可能会将代码更改为以下内容。
sum = ((sum % c) << 1) % c + a * ((b >> i) & 1);因为c保证小于2^31 (根据引用的部分),所以sum % c也保证小于2^31。
发布于 2021-11-06 07:09:23
问题在于:
在mod(),你有sum = (sum << 1) % c + a * ((b >> i) & 1);,
而sum的值可能与a (a.k.a.,32位无符号整数)一样大。
当sum大于2^31 (大于0b'1000 0000 0000 0000 0000 0000 0000 0000)时,
左移仍然会导致溢出。
https://stackoverflow.com/questions/69861843
复制相似问题