我在使用Mermaid.js库获得一个更复杂的流程图时遇到了问题。
我想要这样的东西:
A --> B --> C
^ |
| |
| ˇ
| D --> E --> F
| |
| |
| ˇ
| G --> H --> I
| |
└-----┘你知道我怎么能做到吗?
发布于 2022-04-19 04:52:21
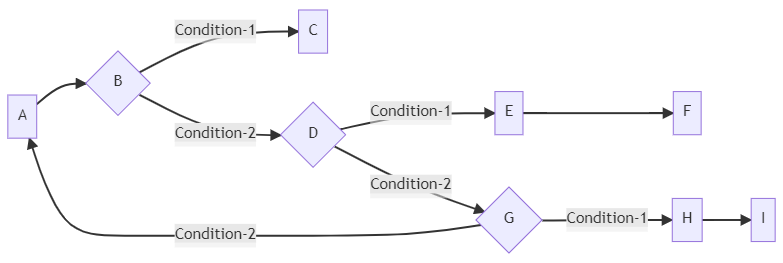
这里是解决方案。你需要在那里加上一些条件。
标记代码在这里:
graph LR
A[A] -->B{B}
B -->|Condition-1| C[C]
B -->|Condition-2| D{D}
D -->|Condition-1|E[E]
E -->F[F]
D -->|Condition-2|G{G}
G -->|Condition-1|H[H]
H -->I[I]
G -->|Condition-2|A输出:

https://stackoverflow.com/questions/69972420
复制相似问题