首页
学习
活动
专区
圈层
工具
发布
社区首页 >问答首页 >界面聚合

界面聚合
EN

Stack Overflow用户
提问于 2021-11-28 13:04:52
回答 1查看 172关注 0票数 0

我需要实施这个计划。但我面临一个警告

S3459:“应该删除未分配的成员”。

这是一个教程代码:

代码语言:javascript
复制
private readonly IEngine engine; *S3459*

public void SomeMethod(int params)
{
    this.engine.StartEngine(params);
}

还有这个计划。

问:我到底做错了什么?

EN

回答 1

Stack Overflow用户

回答已采纳

发布于 2021-11-28 16:23:55

你的代码:

代码语言:javascript
复制
private readonly IEngine engine;

期望在声明或构造函数中初始化engine,因为字段是readonly。所以你才会收到警告

此外,IEngine是一个接口。接口不能被自动实例化,因为它只是一个契约。必须使用实现此接口的类的实例初始化engine

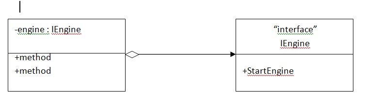
这里有一个改进的UML模型,其中包含一些注释/代码,这些注释/代码解释了它如何工作:

票数 0
EN
页面原文内容由Stack Overflow提供。腾讯云小微IT领域专用引擎提供翻译支持
原文链接:

https://stackoverflow.com/questions/70143690

复制
相关文章

相似问题

领券
问题归档专栏文章快讯文章归档关键词归档开发者手册归档开发者手册 Section 归档