
我想画一个“点”格式的图形。我想要的图是(子)图的图形样式。子图(子图)具有内部图,(父图)在父图之间连接,而不连接到仅在子图中连接的子图。
请你以一个例子来指导如何用点格式来写这样的样式吗?
发布于 2022-09-06 20:07:53
好消息:
创建“父节点”的
坏消息:
最后:fdp引擎允许集群到集群边缘,但是您失去了边缘的方向性。
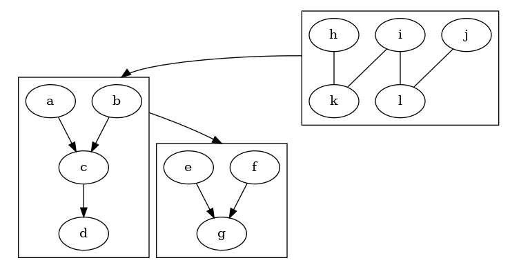
用点绘制
digraph C {
graph [compound=true] // allows edges to/from clusters
// create an extra cluster to try to keep clusterA above clusterB
subgraph clusterWrapper {
graph [peripheries=0] // no box around
subgraph clusterA {
graph [peripheries=1] // box around
a -> c
b->c
c->d
}
subgraph clusterB {
graph [peripheries=1] // box around
f->g
e->g
}
} // end of wrapper
subgraph clusterC {
edge [dir=none ] // no arrowheads
h->k
i->k
i->l
j->l
{rank=same h->i->j [style=invis]}
}
b->f [ltail=clusterA, lhead=clusterB];
l:s->b:n [ltail=clusterC, lhead=clusterA];
l->f [style=invis weight=50]
}给予:

https://stackoverflow.com/questions/73168013
复制相似问题