我对r是新手,我正试图对股票和大宗商品做一些相关分析。我似乎无法让任何情节或相关函数发挥作用。我有一辆CSV,有一列铁的价格,但无法标出。我认为问题与数据框架中的整数值无关,但我似乎也无法改变这一点。照片所附的是铁图的样子,我希望它看起来像一个正常的价格图表,价格作为y轴和x作为时间。
#Get commodity data from irondata.csv#
iron <- read.csv(file = 'irondata.csv')
print(head(iron))
plot(iron)
hist(iron)错误:
Error in hist.default(iron) : 'x' must be numeric


发布于 2022-05-29 08:40:29
错误表示为'x' must be numeric,因此必须将X150列转换为数字。您可以使用该as.numeric。下面是使用一小块数据绘制hist的示例
df <- data.frame(X150 = c(150, 150, 154, 154, 164, 170, 170, 170))
hist(as.numeric(df$X150), xlab = "X150", main = "Histogram")输出:

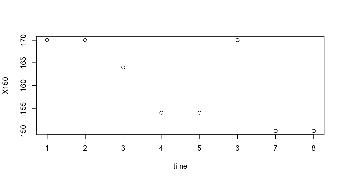
要绘制时间序列,您需要有如下列的序列:
df$time <- sample(1:nrow(df))
plot(df$time, df$X150, xlab = "time", ylab = "X150")输出:

https://stackoverflow.com/questions/72421213
复制相似问题