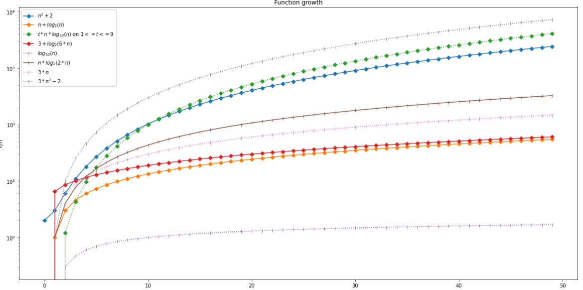
在一个类的主题中,我需要创建一个像:n * np.log2(n) 2()这样的函数的图,并将它们转换成如下所示:∗2()
下面是一些问题:1 <= <= 9上的∗∗10()
我必须调用这个函数并给出(n)作为一个论点,但我不知道如何表示这个函数。
我编辑这个问题是因为我不太清楚。我有一个函数,在这个函数中,我需要将文本方程转换为python语句,如上面所述:
def plot_funs(xs):
js0 = [x**2+2 for x in xs]
js1 = [x + np.log2(x) for x in xs]
js1_b = [t*x*np.log10(x) for x in xs]
yjs2 = [3 + np.log2(6*x) + x for x in xs]然后绘制函数。如果忽略t,它将返回如下内容:

但问题是,我不知道如何绘制上面提到的。
这个练习的重点是研究功能的增长,如果有帮助的话。
谢谢你的帮助。
发布于 2022-05-15 14:27:11
您可以通过input()从用户那里获取输入,并将t向量构造为np.arange(),然后使用matplotlib.pyplot编写方程和绘图。
import numpy as np
import matplotlib.pyplot as plt
print('Enter value for n:')
n = int(input())
t = np.arange(1,n+0.01,0.01)
f = t * n * np.log10(n)
plt.plot(t,f)
plt.show()https://stackoverflow.com/questions/72249083
复制相似问题