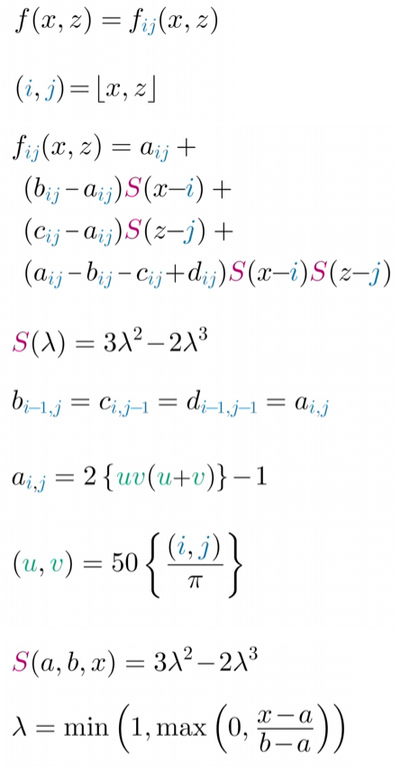
我正在努力学习如何将这些技术应用于sdf呈现来自用数学画风景的景观。在视频中,Quilez展示了这个公式:

但我似乎不正确地将其实现到glsl中。我对着色器很陌生。到目前为止,这就是我所拥有的:
#define PI 3.141593
// a_ij = 2 {uv(u+v)} - 1
float uv_to_cooef(in vec2 uv) {
return 2.0 * fract(uv.x * uv.y * (uv.x + uv.y)) - 1.0;
}
// S(a,b,x) = 3λ^2 - 2λ^3
float smoothstep01(in float x) {
return smoothstep(0.0, 1.0, x);
}
float terrain(in vec2 p) {
vec2 ij = floor(p);
vec2 i = vec2(1.0, 0.0);
vec2 j = vec2(0.0, 1.0);
float s = 500.0;
float a = uv_to_cooef(s * fract(ij / PI));
float b = uv_to_cooef(s * fract((ij + i) / PI));
float c = uv_to_cooef(s * fract((ij + j) / PI));
float d = uv_to_cooef(s * fract((ij + i + j) / PI));
float s_xi = smoothstep01(p.x - ij.x);
float s_yj = smoothstep01(p.y - ij.y);
return a
+ (b - a) * s_xi
+ (c - a) * s_yj;
+ (a - b - c + d) * s_xi * s_yj;
}
// Use raymarching setup in https://www.shadertoy.com/view/tdS3DG but change map to:
vec2 map( in vec3 p, int id ) {
return vec2(p.y - terrain(p.xz), 1.0);
}我得到了无节制的垃圾:

调试将数学函数转换为glsl的一些好方法是什么?
用更简单的连续函数替换map会产生很好的结果:
vec2 map( in vec3 p, int id ) {
float d2 = p.y + sin(p.x / 3.0) * cos(p.y / 7.0);
return vec2(d2,2.0);
}

所以我认为这意味着我的函数不是连续的,但是如何调试它呢?将它分解为2d函数并在desmos上绘制它?
完成的sdf场景在着色玩具上,但我想了解如何从数学到那个。
发布于 2022-05-02 05:40:28
原来我的问题是一个额外的分号,glsl没有抱怨下一行毫无意义的声明。
return a
+ (b - a) * s_xi
+ (c - a) * s_yj; // bad semicolon
+ (a - b - c + d) * s_xi * s_yj;我尝试调试的步骤:
a(i,j)的定义是错误的),但无法看出固定版本与我的glsl代码有何不同。我的下一步是将函数简化为一个更简单的连续函数,然后对我的glsl代码进行同样的修改。https://stackoverflow.com/questions/72060196
复制相似问题