关于sjPlot,plot_models函数,我有一个简短的问题。
我有这样的代码:
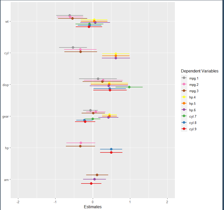
fit1 <- lm(mpg ~ wt + cyl + disp + gear, data = mtcars)
fit2 <- update(fit1, . ~ . + hp)
fit3 <- update(fit2, . ~ . + am)
fit4 <- lm(hp ~ wt + cyl + disp + gear, data = mtcars)
fit5 <- update(fit4, . ~ . + hp)
fit6 <- update(fit5, . ~ . + am)
fit7 <- lm(cyl ~ wt + cyl + disp + gear, data = mtcars)
fit8 <- update(fit7, . ~ . + hp)
fit9 <- update(fit8, . ~ . + am)
plot_models(fit1, fit2, fit3, fit4, fit5, fit6, fit7, fit8, fit9,std.est = "std2")这会产生以下结果:

如何在估计图中编码所有将MPG称为蓝色的因变量、将hp称为绿色的所有因变量以及将cyl称为黄色的所有因变量?那么标签应该相应更新吗?
发布于 2022-04-13 19:32:20
您可以使用ggplot命令来调整颜色:
plot_models(fit1, fit2, fit3, fit4, fit5, fit6, fit7, fit8, fit9, std.est = "std2") +
scale_color_manual(values = c("mpg.1" = "dodgerblue",
"mpg.2" = "dodgerblue3",
"mpg.3" = "blue",
"hp.4" = "yellow",
"hp.5" = "yellow2",
"hp.6" = "gold2",
"cyl.7" = "chartreuse",
"cyl.8" = "springgreen4",
"cyl.9" = "forestgreen"))正如您所看到的,这些子类型之间的区别不是很好。

https://stackoverflow.com/questions/71860894
复制相似问题