我对语言非常陌生,我试着编写如下函数

我试图编写与matlab相同的代码,但我认为这是错误的。

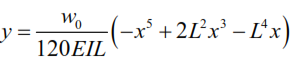
我应该如何用R语言编写这个函数?我还需要在范围0到600之间的函数图。如果你能帮忙,我会很高兴的。
谢谢。
发布于 2022-03-10 12:54:20
您的意思是,您只想定义一个function(x),它将像上面公式中定义的那样返回y?然后用类似的方法
## Define your function:
f <- function(x, w0 = 2.5, E = 50000, I = 30000, L = 600) {
return(w0 / (120*E*I*L) * (-x^5 + 2 * L^2 * x^3 - L^4 * x))
}
## Plot for x from 0 to 600:
x <- 0:600
plot(f(x) ~ x, type = "l")请注意,您可以在函数中使用常量值w0, E, I, L作为参数(如果它们不是真正的常量:-),则非常有用,并且可以给出默认值。
https://stackoverflow.com/questions/71424385
复制相似问题