我目前在可视化傅里叶级数方面有困难。为了找出错误,我尝试了三次同样的方法,但都失败了。
现在我甚至不知道我的代码和对Fourier级数的理解有什么问题。
我想做的是一个类似于以下Youtube视频的东西:https://youtu.be/r6sGWTCMz2k
我想我知道什么是傅里叶级数。我可以通过展示我以前的作品来证明这一点:
(1)方波近似

(2)参数

所以现在我想用参数化的方式画更复杂的东西,。请让我展示一下我走过的过程。
1从svg路径获取坐标。例如,
// svg path
const d = 'M 0 0 L 20 30 L 10 20 ... ... ... Z';
↓
↓ convert with some processing...
↓
const cx = [0, 20, 10, ...]; // function Fx(t)
const cy = [0, 30, 20, ...]; // function Fy(t)2分别从Fx(t)、Fy(t)得到傅里叶系数。然后,利用得到的系数,分别计算傅里叶级数,得到近似的坐标。例如,
Let's say I have a0_x, an_x, bn_x, a0_y, an_y, bn_y.
Then, Fx(t) = a0_x + an_x[1] * cos(1wt) + bn_x[1] * cos(1wt)
+ an_x[2] * cos(2wt) + bn_x[2] * cos(2wt) + ...;
Fy(t) = a0_y + an_y[1] * cos(1wt) + bn_y[1] * cos(1wt)
+ an_y[2] * cos(2wt) + bn_y[2] * cos(2wt) + ...;
Therefore a set of points (Fx(t), Fy(t)) is an approximated path!仅此而已!只剩下画画了!
同时,我以下列方式处理数据:
const d = [svg path data];
const split = d.split(/[, ]/);
const points = get_points(split);
const normalized = normalize(points);
const populated = populate(normalized, 8);
const cx = populated.x; // Fx(t)
const cy = populated.y; // Fy(t)
/**
* This function does the below job.
* populate([0,3,6], 2) => output 0 12 3 45 6
* populate([0,4,8], 3) => output 0 123 4 567 8
*/
function populate(data, n) {
if (data.x.length <= 1) throw new Error('NotEnoughData');
if (n < 1) throw new Error('InvalidNValue');
const arr_x = new Array(data.x.length + (data.x.length - 1) * n);
const arr_y = new Array(data.y.length + (data.y.length - 1) * n);
for (let i = 0; i < data.x.length; i++) {
arr_x[i * (n + 1)] = data.x[i];
arr_y[i * (n + 1)] = data.y[i];
}
for (let i = 0; i <= arr_x.length - n - 1 - 1; i += (n + 1)) {
const x_interpolation = (arr_x[i + n + 1] - arr_x[i]) / (n + 1);
const y_interpolation = (arr_y[i + n + 1] - arr_y[i]) / (n + 1);
for (let j = 1; j <= n; j++) {
arr_x[i + j] = arr_x[i] + x_interpolation * j;
arr_y[i + j] = arr_y[i] + y_interpolation * j;
}
}
return { x: arr_x, y: arr_y };
}
// This function makes all values are in range of [-1, 1].
// I just did it... because I don't want to deal with big numbers (and not want numbers having different magnitude depending on data).
function normalize(obj) {
const _x = [];
const _y = [];
const biggest_x = Math.max(...obj.x);
const smallest_x = Math.min(...obj.x);
const final_x = Math.max(Math.abs(biggest_x), Math.abs(smallest_x));
const biggest_y = Math.max(...obj.y);
const smallest_y = Math.min(...obj.y);
const final_y = Math.max(Math.abs(biggest_y), Math.abs(smallest_y));
for (let i = 0; i < obj.x.length; i++) {
_x[i] = obj.x[i] / final_x;
_y[i] = obj.y[i] / final_y;
}
return { x: _x, y: _y };
}
// returns Fx(t) and Fy(t) from svg path data
function get_points(arr) {
const x = [];
const y = [];
let i = 0;
while (i < arr.length) {
const path_command = arr[i];
if (path_command === "M") {
x.push(Number(arr[i + 1]));
y.push(Number(arr[i + 2]));
i += 3;
} else if (path_command === 'm') {
if (i === 0) {
x.push(Number(arr[i + 1]));
y.push(Number(arr[i + 2]));
i += 3;
} else {
x.push(x.at(-1) + Number(arr[i + 1]));
y.push(y.at(-1) + Number(arr[i + 2]));
i += 3;
}
} else if (path_command === 'L') {
x.push(Number(arr[i + 1]));
y.push(Number(arr[i + 2]));
i += 3;
} else if (path_command === 'l') {
x.push(x.at(-1) + Number(arr[i + 1]));
y.push(y.at(-1) + Number(arr[i + 2]));
i += 3;
} else if (path_command === 'H') {
x.push(Number(arr[i + 1]));
y.push(y.at(-1));
i += 2;
} else if (path_command === 'h') {
x.push(x.at(-1) + Number(arr[i + 1]));
y.push(y.at(-1));
i += 2;
} else if (path_command === 'V') {
x.push(x.at(-1));
y.push(Number(arr[i + 1]));
i += 2;
} else if (path_command === 'v') {
x.push(x.at(-1));
y.push(y.at(-1) + Number(arr[i + 1]));
i += 2;
} else if (path_command === 'Z' || path_command === 'z') {
i++;
console.log('reached to z/Z, getting points done');
} else if (path_command === 'C' || path_command === 'c' || path_command === 'S' || path_command === 's' || path_command === 'Q' || path_command === 'q' || path_command === 'T' || path_command === 't' || path_command === 'A' || path_command === 'a') {
throw new Error('unsupported path command, getting points aborted');
} else {
x.push(x.at(-1) + Number(arr[i]));
y.push(y.at(-1) + Number(arr[i + 1]));
i += 2;
}
}
return { x, y };
}同时,为了计算傅里叶系数,本文采用数值积分的方法。这是密码。
/**
* This function calculates Riemann sum (area approximation using rectangles).
* @param {Number} div division number (= number of rectangles to be used)
* @param {Array | Function} subject subject of integration
* @param {Number} start where to start integration
* @param {Number} end where to end integration
* @param {Number} nth this parameter will be passed to 'subject'
* @param {Function} paramFn this parameter will be passed to 'subject'
* @returns {Number} numerical-integrated value
*/
function numerical_integration(div, subject, start, end, nth = null, paramFn = null) {
if (div < 1) throw new Error(`invalid div; it can't be 0 or 0.x`);
let sum = 0;
const STEP = 1 / div;
const isSubjectArray = Array.isArray(subject);
if (isSubjectArray) {
for (let t = start; t < end; t++) {
for (let u = 0; u < div; u++) {
sum += subject[t + 1] * STEP;
}
}
} else {
for (let t = start; t < end; t++) {
for (let u = 0; u < div; u++) {
const period = end - start;
const isParamFnArray = Array.isArray(paramFn);
if (isParamFnArray) sum += subject((t + 1), period, nth, paramFn) * STEP;
else sum += subject(((t + STEP) + STEP * u), period, nth, paramFn) * STEP;
}
}
}
return sum;
// console.log(numerical_integration(10, (x) => x ** 3, 0, 2));
}近似值在附近。对于(x) => x,除10,从0到2,近似为2.1,而实际答案为2;对于(x) => x ** 2,除10,从0到2,近似为2.87,而实际答案为2.67。对于(x) => x ** 3,除以10,从0到2,近似为4.41,而实际答案为4。
我找到了a0,它是这样的:(※,您可以在my previous question中找到傅里叶系数公式)
/**
* This function will be passed to 'getAn' function.
* @param {Number} t this function is a function of time
* @param {Number} period period of a function to be integrated
* @param {Number} nth integer multiple
* @param {Array | Function} paramFn
* @returns {Number} computed value
*/
function fc(t, period, nth, paramFn) {
const isParamFnArray = Array.isArray(paramFn);
const w = 2 * Math.PI / period;
if (isParamFnArray) return paramFn[t] * Math.cos(nth * w * t);
else return paramFn(t) * Math.cos(nth * w * t);
}
// This function will be passed to 'getBn' function.
function fs(t, period, nth, paramFn) {
const isParamFnArray = Array.isArray(paramFn);
const w = 2 * Math.PI / period;
if (isParamFnArray) return paramFn[t] * Math.sin(nth * w * t);
else return paramFn(t) * Math.sin(nth * w * t);
}
/**
* This function returns a0 value.
* @param {Number} period period of a function to be integrated
* @param {Array | Function} intgFn function to be intergrated
* @param {Number} div number of rectangles to use
* @returns {Number} a0 value
*/
// Why * 30? in order to scale up
// Why - 1? because arr[arr.length] is undefined.
function getA0(period, intgFn, div) {
return 30 * numerical_integration(div, intgFn, 0, period - 1) / period;
}
/**
* This function returns an values.
* @param {Number} period period of a function to be integrated
* @param {Number} div number of rectangles to use
* @param {Number} howMany number of an values to be calculated
* @param {Array | Function} paramFn function to be integrated
* @returns {Array} an values
*/
function getAn(period, div, howMany, paramFn) {
const an = [];
for (let n = 1; n <= howMany; n++) {
const value = 30 * numerical_integration(div, fc, 0, period - 1, n, paramFn) * 2 / period;
an.push(value);
}
return an;
}
// This function returns bn values.
function getBn(period, div, howMany, paramFn) {
const bn = [];
for (let n = 1; n <= howMany; n++) {
const value = 30 * numerical_integration(div, fs, 0, period - 1, n, paramFn) * 2 / period;
bn.push(value);
}
return bn;
}
const xa0 = getA0(cx.length, cx, 10);
const xan = getAn(cx.length, 10, 100, cx);
const xbn = getBn(cx.length, 10, 100, cx);
const ya0 = getA0(cy.length, cy, 10);
const yan = getAn(cy.length, 10, 100, cy);
const ybn = getBn(cy.length, 10, 100, cy);但是,结果不是我想要的.是个奇怪的形状..。也许这就是生活..。

以下是画布绘图代码:
const $cvs = document.createElement('canvas');
const cctx = $cvs.getContext('2d');
$cvs.setAttribute('width', 1000);
$cvs.setAttribute('height', 800);
$cvs.setAttribute('style', 'border: 1px solid black;');
document.body.appendChild($cvs);
window.requestAnimationFrame(draw_tick);
// offset
const xoo = { x: 200, y: 600 }; // x oscillator offset
const yoo = { x: 600, y: 200 }; // y ~
// path
const path = [];
// drawing function
let deg = 0;
function draw_tick() {
const rAF = window.requestAnimationFrame(draw_tick);
// initialize
cctx.clearRect(0, 0, 1000, 800);
// y oscillator
const py = { x: 0, y: 0 };
// a0
// a0 circle
cctx.beginPath();
cctx.strokeStyle = 'black';
cctx.arc(yoo.x + py.x, yoo.y + py.y, Math.abs(ya0), 0, 2 * Math.PI);
cctx.stroke();
// a0 line
cctx.beginPath();
cctx.strokeStyle = 'black';
cctx.moveTo(yoo.x + py.x, yoo.y + py.y);
py.x += ya0 * Math.cos(0 * deg * Math.PI / 180);
py.y += ya0 * Math.sin(0 * deg * Math.PI / 180);
cctx.lineTo(yoo.x + py.x, yoo.y + py.y);
cctx.stroke();
// an
for (let i = 0; i < yan.length; i++) {
const radius = yan[i];
// an circles
cctx.beginPath();
cctx.strokeStyle = 'black';
cctx.arc(yoo.x + py.x, yoo.y + py.y, Math.abs(radius), 0, 2 * Math.PI);
cctx.stroke();
// an lines
cctx.beginPath();
cctx.strokeStyle = 'black';
cctx.moveTo(yoo.x + py.x, yoo.y + py.y);
py.x += radius * Math.cos((i+1) * deg * Math.PI / 180);
py.y += radius * Math.sin((i+1) * deg * Math.PI / 180);
cctx.lineTo(yoo.x + py.x, yoo.y + py.y);
cctx.stroke();
}
// bn
for (let i = 0; i < ybn.length; i++) {
const radius = ybn[i];
// bn circles
cctx.beginPath();
cctx.strokeStyle = 'black';
cctx.arc(yoo.x + py.x, yoo.y + py.y, Math.abs(radius), 0, 2 * Math.PI);
cctx.stroke();
// bn lines
cctx.beginPath();
cctx.strokeStyle = 'black';
cctx.moveTo(yoo.x + py.x, yoo.y + py.y);
py.x += radius * Math.cos((i+1) * deg * Math.PI / 180);
py.y += radius * Math.sin((i+1) * deg * Math.PI / 180);
cctx.lineTo(yoo.x + py.x, yoo.y + py.y);
cctx.stroke();
}
// x oscillator
const px = { x: 0, y: 0 };
// a0
// a0 circle
cctx.beginPath();
cctx.strokeStyle = 'black';
cctx.arc(yoo.x + py.x, yoo.y + py.y, Math.abs(xa0), 0, 2 * Math.PI);
cctx.stroke();
// a0 line
cctx.beginPath();
cctx.strokeStyle = 'black';
cctx.moveTo(yoo.x + py.x, yoo.y + py.y);
py.x += xa0 * Math.cos(0 * deg * Math.PI / 180);
py.y += xa0 * Math.sin(0 * deg * Math.PI / 180);
cctx.lineTo(yoo.x + py.x, yoo.y + py.y);
cctx.stroke();
// an
for (let i = 0; i < xan.length; i++) {
const radius = xan[i];
// an circles
cctx.beginPath();
cctx.strokeStyle = 'black';
cctx.arc(xoo.x + px.x, xoo.y + px.y, Math.abs(radius), 0, 2 * Math.PI);
cctx.stroke();
// an lines
cctx.beginPath();
cctx.strokeStyle = 'black';
cctx.moveTo(xoo.x + px.x, xoo.y + px.y);
px.x += radius * Math.cos((i+1) * deg * Math.PI / 180);
px.y += radius * Math.sin((i+1) * deg * Math.PI / 180);
cctx.lineTo(xoo.x + px.x, xoo.y + px.y);
cctx.stroke();
}
// bn
for (let i = 0; i < xbn.length; i++) {
const radius = xbn[i];
// bn circles
cctx.beginPath();
cctx.strokeStyle = 'black';
cctx.arc(xoo.x + px.x, xoo.y + px.y, Math.abs(radius), 0, 2 * Math.PI);
cctx.stroke();
// bn lines
cctx.beginPath();
cctx.strokeStyle = 'black';
cctx.moveTo(xoo.x + px.x, xoo.y + px.y);
px.x += radius * Math.cos((i+1) * deg * Math.PI / 180);
px.y += radius * Math.sin((i+1) * deg * Math.PI / 180);
cctx.lineTo(xoo.x + px.x, xoo.y + px.y);
cctx.stroke();
}
// y oscillator line
cctx.strokeStyle = 'black';
cctx.beginPath();
cctx.moveTo(yoo.x + py.x, yoo.y + py.y);
cctx.lineTo(xoo.x + px.x, yoo.y + py.y);
cctx.stroke();
// x oscillator line
cctx.strokeStyle = 'black';
cctx.beginPath();
cctx.moveTo(xoo.x + px.x, xoo.y + px.y);
cctx.lineTo(xoo.x + px.x, yoo.y + py.y);
cctx.stroke();
// path
path.push({ x: px.x, y: py.y });
cctx.beginPath();
cctx.strokeStyle = 'black';
cctx.moveTo(200 + path[0].x, 200 + path[0].y);
for (let i = 0; i < path.length; i++) {
cctx.lineTo(200 + path[i].x, 200 + path[i].y);
}
cctx.stroke();
// degree update
if (deg === 359) {
window.cancelAnimationFrame(rAF);
} else {
deg++;
}
}所以!我决定要合乎逻辑。首先,通过在画布上绘制路径数据,检查转换后的路径数据是否正确。下面是画布代码和数据。
let count = 0;
function draw_tick2() {
const rAF = window.requestAnimationFrame(draw_tick2);
const s = 100; // scale up
// initialize
cctx.clearRect(0, 0, 1000, 800);
cctx.beginPath();
// 200 has no meaning I just added it to move the path.
for (let i = 0; i < count; i++) {
if (i === 0) cctx.moveTo(200 + s * cx[i], 200 + s * cy[i]);
else cctx.lineTo(200 + s * cx[i], 200 + s * cy[i]);
}
cctx.stroke();
if (count < cx.length - 1) {
count++;
} else {
window.cancelAnimationFrame(rAF);
}
}const paimon = 'm 0,0 -2.38235,-2.87867 -1.58823,-1.29045 -1.9853,-0.893384 -3.17647,-0.39706 1.58824,-1.98529 1.09191,-2.08456 v -2.38235 l -0.79412,-2.87868 1.88603,2.18383 1.6875,1.88602 1.78677,0.99265 1.78676,0.39706 1.78676,-0.19853 -1.6875,1.58824 -0.69485,1.68749 -0.0993,2.084564 0.39706,2.18383 9.62867,3.87132 2.77941,1.9853 4.66544,-1.09192 3.07721,-1.88603 1.9853,-2.58088 -3.97059,0.49633 -3.375,-0.79412 -2.87868,-2.58088 -2.08456,-3.077214 2.38235,1.48897 2.08456,0.19853 3.57353,-0.89338 2.58089,-2.48162 -3.07721,0.39706 -3.87132,-1.88603 -2.97794,-2.08456 -2.48162,-2.87868 -3.87133,-4.06985 -4.06985,-2.68015 -5.95588,-2.58088 -5.85662,-0.79412 -5.45956,0.99265 0.59559,1.6875 -0.99265,1.09191 -0.79412,3.47427 -1.29044,-2.97794 -0.89338,-1.19118 0.79412,-1.48897 1.6875,-0.79412 0.39706,-3.772057 1.48897,1.290441 1.78676,0.09926 -2.08456,-1.985293 1.78677,-0.893382 4.36765,-0.19853 4.86397,0.992648 1.19117,1.091912 -2.38235,1.985301 3.17647,-0.49633 2.87868,-2.680149 -3.57353,-2.580881 -5.45956,-1.488972 h -4.46691 l -3.6728,-3.176471 -0.79412,1.389706 -0.79411,-1.488969 0.69485,-0.595588 -1.58824,-3.871325 -0.39706,3.672795 -0.69485,0.297794 0.89338,1.091911 v 1.091912 h -1.19113 l -0.59559,-0.992648 -1.98529,2.878677 -4.06986,1.588236 -4.26838,1.985293 3.27574,3.871329 2.87867,1.88603 2.58088,0.29779 -2.58088,-1.58823 -0.89338,-2.084566 4.86397,-0.992645 -1.19118,2.382351 h 1.58824 l 1.48897,-1.88603 0.29779,2.77942 -2.38235,2.38235 -3.57353,2.87868 -3.97059,4.86397 -2.08456,3.67279 -2.58088,2.58088 -2.68015,1.09192 -3.17647,0.0993 -1.3897,-0.69485 1.09191,3.17647 2.18382,3.573534 3.375,2.38235 -1.78676,5.85662 -1.38971,6.05514 0.39706,4.36765 1.38971,4.66544 3.87132,4.46691 -0.79412,-3.57352 -0.49632,-4.06986 v -2.48162 l 1.78676,5.85662 3.07721,3.17647 3.07721,1.29044 3.37499,0.79412 2.28309,-0.89338 0.69486,-1.48897 -1.19118,0.49632 -2.48162,-1.98529 -2.28309,-2.87868 2.28309,2.48162 h 0.99265 l 0.69485,-0.49632 0.2978,-1.19118 0.0993,-0.79412 -0.89339,0.59559 -1.58823,-0.99265 -1.29044,-1.3897 -1.19118,-2.38236 -0.89338,-4.86397 -0.0993,-4.56617 0.29779,-4.96324 0.39706,0.89338 1.19118,-0.44669 0.0496,-0.89338 1.09191,0.69485 1.48897,0.2978 1.53861,0.89338 0.99264,0.64522 h -0.79411 l 0.49632,2.43199 -0.44669,1.58823 -1.78676,0.39706 -1.24081,-1.24081 -0.24817,-1.43934 0.84375,-0.94301 1.19118,-0.49633 1.14154,0.94302 0.24816,1.14154 -0.0993,1.48897 -1.83639,0.64523 -1.58824,-1.53861 -0.44669,-1.48897 -0.24816,-2.18382 -1.43934,0.99264 0.0496,-0.99264 -0.44669,1.78676 0.69485,3.12684 1.09192,4.26838 1.78676,1.78677 6.89889,3.02757 -2.53124,0.99265 -3.17647,1.3897 -0.79412,0.39706 0.59559,0.39706 1.34007,-0.69485 0.0496,1.19117 1.98529,-0.39705 2.68015,-0.44669 -0.2978,-1.93567 0.79412,1.58824 2.82905,-0.44669 4.06985,-1.34008 1.04229,-0.59559 -0.2978,-1.78676 -0.34743,-1.73713 -4.9136,2.48162 -2.58088,0.94301 -3.17648,-4.81434 1.53861,0.49633 1.3897,0.0496 1.43935,-0.24816 -1.34008,0.24816 h -1.58824 l -1.41452,-0.54596 3.12684,4.78953 2.63052,-0.89339 4.86397,-2.4568 2.65533,-2.08456 0.39706,-5.90625 -0.84375,1.5386 -1.14155,0.54596 -1.5386,0.19853 -1.29044,-0.89338 -0.59559,-1.09191 -0.24816,-1.73714 0.24816,-1.3897 -2.08456,0.54595 -0.29779,-0.34742 0.34743,-0.49633 0.64522,-0.39706 1.5386,-0.39705 2.18382,-0.19853 1.24081,0.0993 1.14154,0.54596 0.4467,1.43934 -0.19853,1.63786 -0.59559,1.29044 -1.24081,0.89339 -1.43934,-0.39706 -0.99264,-1.09191 -0.0496,-1.19118 0.79412,-0.89338 0.89338,-0.44669 1.19118,-0.0496 0.64522,1.04228 0.34742,0.79412 -0.14889,1.14155 0.99265,-0.4467 0.29779,-1.34007 -0.19853,-4.06985 -1.93566,-0.44669 -2.53125,-1.6875 -2.23346,-1.88603 -2.23345,-4.069864 -0.44669,3.920964 0.64522,4.21875 1.5386,3.92096 0.74448,0.44669 h -1.73713 l -2.18383,-0.54596 -3.12684,-2.08456 -1.58823,-2.28309 -1.14154,-2.08456 -1.29044,-3.871324 -1.38971,2.481624 -1.48897,2.63051 -0.94302,1.9853 3.8217,-6.948534 1.29044,3.672794 2.33272,3.92096 2.9283,2.13419 0.49633,0.44669 2.28309,0.49632 h 1.63787 l -0.69485,-0.69485 -0.84375,-1.93566 -1.34008,-5.80698 0.44669,-3.970594 2.33273,4.069854 4.56617,3.47426 2.08456,0.59559 0.19853,2.82905 -0.0496,3.97058 -0.0993,6.00552 -0.54595,3.02757 -1.58824,2.77941 -1.5386,0.89339 -1.19118,0.24816 -1.48897,-0.69485 -0.69485,-0.1489 0.69485,1.24081 1.43934,1.6875 2.68015,1.19117 3.17647,0.2978 3.77206,-2.23346 1.3897,-2.77941 0.89339,-3.82169 0.0496,-3.375 0.14889,6.25368 -1.14154,5.11213 -2.08456,3.27573 -2.08456,1.6875 -1.88603,0.59559 -2.28308,-0.79412 1.78676,1.6875 4.9136,1.88603 2.43199,0.2978 2.68015,-0.39706 2.72977,-1.09191 3.62317,-3.27574 0.89338,-3.97059 0.49632,-3.57353 -0.0993,-2.87867 -0.39706,-3.17647 -0.49632,-3.07721 1.98529,3.47427 1.19117,2.18382 0.39706,1.29044 0.39706,-2.28309 -0.39706,-3.0772 -1.29044,-3.77206 -1.29044,-2.87868 -1.6875,-3.27573 -10.125,-4.16912 z';

我是★Paimon chan★,来自电脑游戏“Genshin Impact”。由此证明,由于所有数据的绘制都是正确的,因此这些数据没有缺陷。
接下来,我绘制了近似的(Fx(t),Fy(t))点,这样我就可以检查是否有问题。结果发现出了一个问题。但我不明白有什么问题。同时,这条路很有趣,这条路的开头部分就像发夹一样。

这是绘图代码:
function approxFn(t) {
let x = xa0;
let y = ya0;
for (let i = 0; i < xan.length; i++) {
x += xan[i] * Math.cos(2 * Math.PI * i * t / cx.length);
x += xbn[i] * Math.sin(2 * Math.PI * i * t / cx.length);
y += yan[i] * Math.cos(2 * Math.PI * i * t / cx.length);
y += ybn[i] * Math.sin(2 * Math.PI * i * t / cx.length);
}
return { x, y };
}
function draw_tick3() {
const rAF = window.requestAnimationFrame(draw_tick3);
const s = 5;
// initialize
cctx.clearRect(0, 0, 1000, 800);
cctx.beginPath();
for (let t = 0; t < count; t++) {
if (count === 0) cctx.moveTo(200 + s * approxFn(t).x, 200 + s * approxFn(t).y);
else cctx.lineTo(200 + s * approxFn(t).x, 200 + s * approxFn(t).y);
}
cctx.stroke();
if (count < cx.length - 1) {
count++;
} else {
window.cancelAnimationFrame(rAF);
}
}以上是js文件中的所有代码。在哪里我犯了个错误?这是个谜!我知道这个问题是非常严肃的长问题。但求你帮帮我!我想认识成龙!ㅠwㅠ
同时,我成功地绘制了复数平面中的路径。如果你有兴趣,请看我的作品..。我想在这里加上圆形的东西,但是我不知道在这个例子中什么是‘半径’。



// You can see that I used real part for x and imaginary part for y.
for (let i = 0; i <= count; i++) {
if (i === 0) {
cctx.moveTo(coords[i].real * scaler + paimonPosition, coords[i].imag * scaler + paimonPosition);
} else {
cctx.lineTo(coords[i].real * scaler + paimonPosition, coords[i].imag * scaler + paimonPosition);
}
}这就是结果。但让我困惑的是cn = -5000 ~ 5000的例子。据我所知,更多的cn,更准确的原波。但是当cn这么大的时候,它为什么会崩溃呢?
无论如何,非常感谢你阅读了这个冗长的问题!
发布于 2022-02-14 19:09:35

你好我自己!
First,代码中的错误
h 0 1 2.函数无法处理像get_points这样的情况
get_points函数不能处理第二个m绘图命令。如果您有多个路径,则需要手动连接字符串。简单地说,如果你在xy平面上近似f(t),你就不能画出一个具有固定大小的旋转矢量的形状。这是因为你所近似的不是形状本身,而是形状的坐标。
第三次,当您试图绘制近似数据时,出现奇怪形状的原因是您的approxFn()函数。
x += xan[i] * Math.cos(2 * Math.PI * i * t / cx.length);
x += xbn[i] * Math.sin(2 * Math.PI * i * t / cx.length);
y += yan[i] * Math.cos(2 * Math.PI * i * t / cx.length);
y += ybn[i] * Math.sin(2 * Math.PI * i * t / cx.length);不是t,(t + 1)是正确的。你的近似数据没有问题。
第四,所以如果你想要旋转矢量,你需要采取一个复杂的平面方法。在这种情况下,圆半径是实部向量和虚部向量之和向量的大小(Pythagorean定理)。
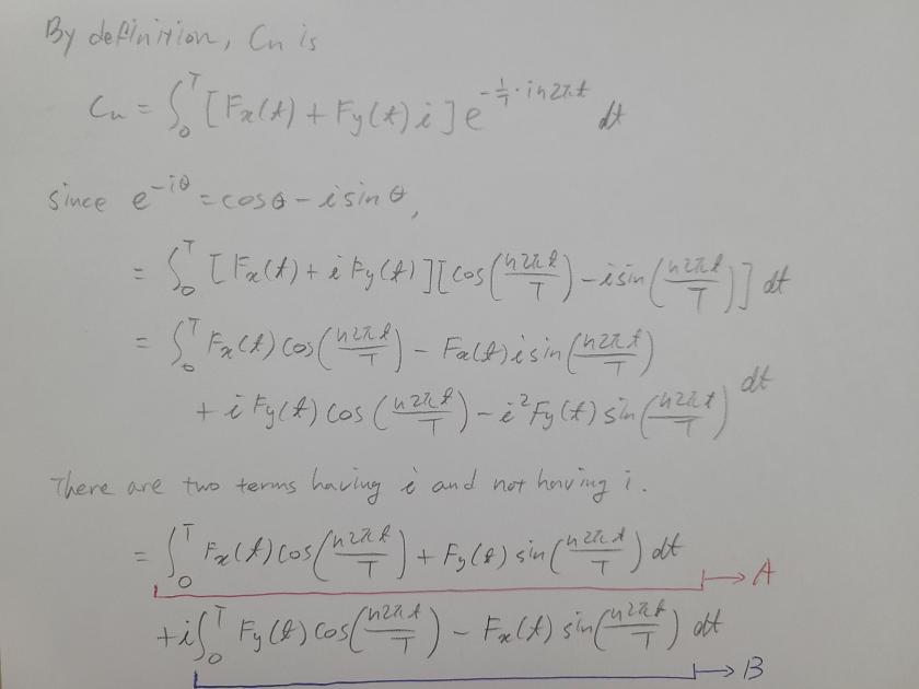
第五,在Cn公式中,你错过了1/ T。
6它坠毁的原因是..。我不知道确切的原因,但我认为数值积分和/或找到Cn是错误的。我写的新代码不会在高Cn时崩溃。
附注:我写了一些关于傅里叶级数的文章。请看你是否有兴趣:https://logic-finder.github.io/FourierSeriesExploration/opening/opening-en.html
https://stackoverflow.com/questions/71057973
复制相似问题