我感兴趣的是用geom_quasirandom()函数按组绘制一些连续变量的分布。
我想知道如何只在一边,例如只在右边,而不是在双方的点。
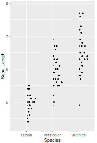
ggplot(iris,aes(Species, Sepal.Length)) + geom_quasirandom()我对这样的情节很感兴趣。我对基于geom_beeswarm的解决方案不感兴趣,因为我有很多数据点,而geom_beeswarm只是为我的数据集制造了一个拥挤的混乱。因此,任何特定于geom_quasirandom()的解决方案都是有帮助的。谢谢。

发布于 2022-02-08 20:06:24
这里有一种方法,从蜂箱里取出内脏,用dplyr手动调整,然后手动添加物种标签。
ggplot_build(ggplot(iris,aes(Species, Sepal.Length)) +
geom_quasirandom()) -> a
a$data[[1]] %>%
group_by(group) %>%
mutate(x_adj = group + abs(x - median(x))) %>%
ungroup() %>%
ggplot(aes(x_adj, y)) +
geom_point() +
scale_x_continuous(breaks = 1:3, labels = unique(iris$Species))...or通过使用不可见层来保持自动标记:
...
ggplot(aes(x, y)) +
geom_point(alpha = 0) +
geom_point(aes(x = x_adj))

https://stackoverflow.com/questions/71040084
复制相似问题