读了一本书“用Directx12进行3D游戏编程简介”,我不明白如何从函数中得到旋转矩阵。

轮换矩阵是:

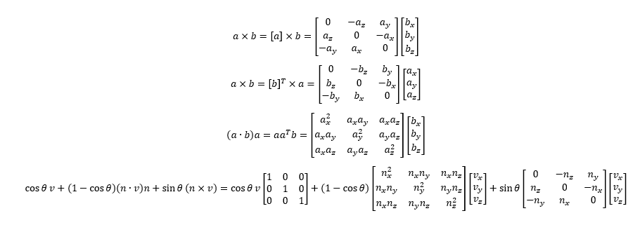
要从此规则获得此矩阵:

发布于 2022-02-02 13:57:05
非常好的配方。
假设|n|=1,术语(n.v)n是v向n方向的投影,这必须保持不变。
术语v - (n.v)n是v在与n垂直的平面上的投影,从而乘以cos(theta)。
术语n x v是与包含n和v的平面正常的向量,因此乘以sin(theta)。
发布于 2022-02-05 17:11:41
我发现交叉积和投影可以表示为矩阵。

https://stackoverflow.com/questions/70954513
复制相似问题