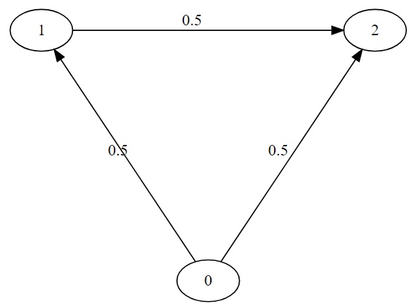
考虑一下
digraph G {
0[pos="0,0!"]
1[pos="-2,3!"]
2[pos="2,3!"]
0->1[label="0.5"]
0->2[label="0.5"]
1->2[label="0.5"]
}在neato下,这提供了:

在我的应用程序中,我的坐标是这里坐标的10倍。0在坐标(0,0),1在(-20,30),2在(20,30)。
使用
digraph G {
0[pos="0,0!"]
1[pos="-20,30!"]
2[pos="20,30!"]
0->1[label="0.5"]
0->2[label="0.5"]
1->2[label="0.5"]
}呈现的图形变得非常“遥远”,因此节点标签和弧形标签以非常小的字体呈现。

是否有办法控制图形的缩放,以便即使放大10倍(即坐标高出一个数量级),只要节点的相对位置不变(即坐标用一个常数乘法因子进行缩放),渲染就像以前一样可见?我可以通过将从我的应用程序中获得的每个坐标除以10来手动缩放坐标。在此之前,我想知道渲染引擎可以自己处理这个问题。
注意:所有呈现都是在在线引擎:https://dreampuf.github.io/GraphvizOnline/上完成的。
发布于 2022-01-14 16:29:04
scale属性似乎是您想要的(https://graphviz.org/docs/attrs/scale/)尝试neato -s10 -T... myfile.gv
https://stackoverflow.com/questions/70709254
复制相似问题