我正在寻求最优控制(aoa和岸角),以最大限度地跨越距离的穿梭机型再入飞行器使用Gekko。下面是我当前的代码,我得到了一个“未找到的解决方案”和"EXIT:迭代次数超过的最大值“。模拟假设点质量与一个非旋转的地球框架.EOMS为6种耦合的非线性ODEs。我尝试过使用不同的求解器,实现/删除状态和控制约束,增加最大迭代次数等。我对我在Gekko中的问题的设置和实现没有信心,我希望得到一些关于我下一步可以尝试什么的反馈。我试图遵循APMonitor示例11.带积分目标的最优控制、倒立摆最优控制和示例13.最优控制:最大限度地减少最后时间中的设置和布局。我正在寻找的解决方案如下。
任何帮助都是非常感谢的!
from gekko import GEKKO
import numpy as np
import matplotlib.pyplot as plt
import math
pi = math.pi
########################
######FRONT MATTER######
########################
m = GEKKO() # initialize GEKKO
nt = 2501 #simulation time is 2500 seconds
tfin = 2500
m.time = np.linspace(0,tfin,nt) #time array
#==================#
#PARAMS
#==================#
Re = m.Param(value = 6371203.92) # radius of the earth, m
S = m.Param(value = 249.9091776) # vehicle surface area, m^2
cl0 = m.Param(value = -0.2070) # coeff lift param 1
cl1 = m.Param(value = 1.6756) # coeff lift param 2
cd0 = m.Param(value = 0.0785) # coeff drag param 1
cd1 = m.Param(value = -0.3529) # coeff drag param 2
cd2 = m.Param(value = 2.0400) # coeff drag param 3
H = m.Param(value = 7254.24) # density scale height, m
rho0= m.Param(value = 1.225570827014494) # sea level atmospheric density, kg/m^3
mu = m.Param(value = 3.986031954093051e14) #earth gravitational param, m^3/s^2
mass= m.Param(value = 92079.2525560557) #vehicle mass, kg
#===============================#
#BOUNDARY CONDITIONS
#===============================#
t0 = 0
alt0 = 79248
rad0 = alt0+Re
altf = 24384
radf = altf+Re
lon0 = 0
lat0 = 0
speed0 = +7802.88
speedf = +762
fpa0 = -1*pi/180
fpaf = -5*pi/180
azi0 = +90*pi/180
azif = -90*pi/180
#===============================#
#LIMITS ON VARIABLES
#===============================#
tfMin = 0; tfMax = 3000;
radMin = Re; radMax = rad0;
lonMin = -pi; lonMax = -lonMin;
latMin = -70*pi/180; latMax = -latMin;
speedMin = 10; speedMax = 45000;
fpaMin = -80*pi/180; fpaMax = 80*pi/180;
aziMin = -180*pi/180; aziMax = 180*pi/180;
aoaMin = -90*pi/180; aoaMax = -aoaMin;
bankMin = -90*pi/180; bankMax = 1*pi/180;
#===============================#
#VARIABLES
#===============================#
#state variables and bounds
rad = m.Var(value=rad0, lb=radMin, ub=radMax) # radius, m
lon = m.Var(value=lon0, lb=lonMin, ub=lonMax) # longitude, rad
lat = m.Var(value=lat0, lb=latMin, ub=latMax) # latitude, rad
vel = m.Var(value=speed0, lb=speedMin, ub=speedMax) # velocity, m/sec
fpa = m.Var(value=fpa0, lb=fpaMin, ub=fpaMax) # flight path angle, rad
azi = m.Var(value=azi0, lb=aziMin, ub=aziMax) # azimuth angle, rad
#control variables
aoa = m.MV(value=-20, lb=aoaMin, ub=aoaMax) # angle of attack, rad
aoa.STATUS = 1
aoa.DCOST = 1e-2
bank = m.MV(value=0, lb=bankMin, ub=bankMax) # bank angle, rad
bank.STATUS = 1
bank.DCOST = 1e-2
#===============================#
#INTERMEDIATE VARIABLES
#===============================#
altitude = m.Intermediate(rad - Re)
CD = m.Intermediate(cd0+cd1*aoa+cd2*aoa**2)
rho = m.Intermediate(rho0*m.exp(-altitude/H))
CL = m.Intermediate(cl0+cl1*aoa)
q = m.Intermediate(0.5*rho*vel**2)
D = m.Intermediate(q*S*CD/mass)
L = m.Intermediate(q*S*CL/mass)
gravity = m.Intermediate(mu/rad**2)
#===============================#
#EOMS
#===============================#
p = np.zeros(nt) # mark final time point
p[-1] = 1.0
final = m.Param(value=p)
m.Equation(rad.dt() == vel*m.sin(fpa))
m.Equation((rad*m.cos(lat))*lon.dt() == vel*m.cos(fpa)*m.sin(azi))
m.Equation(rad*lat.dt() == vel*m.cos(fpa)*m.cos(azi))
m.Equation(vel.dt() == -D-gravity*m.sin(fpa))
m.Equation(vel*fpa.dt() == (L*m.cos(bank)-m.cos(fpa)*(gravity-vel**2/rad)))
m.Equation(vel*azi.dt() == (L*m.sin(bank)/m.cos(fpa)+vel**2*m.cos(fpa)*m.sin(azi)*m.tan(lat)/rad))
#===============================#
#OPTIMIZATION SOLVER
#===============================#
m.Obj(-lat*final)
# m.options.SOLVER = 3
# m.options.IMODE = 6
# m.solve(disp=True)
m.options.MAX_ITER = 500
m.options.IMODE = 6
# m.options.NODES = 3
# m.options.MV_TYPE = 1
m.options.SOLVER = 3
# m.open_folder()
m.solve()对于高度、速度、AOA和岸角,解决方案应该如下所示:海拔高度 速度 AngleofAttack 银行
发布于 2022-01-14 04:17:31
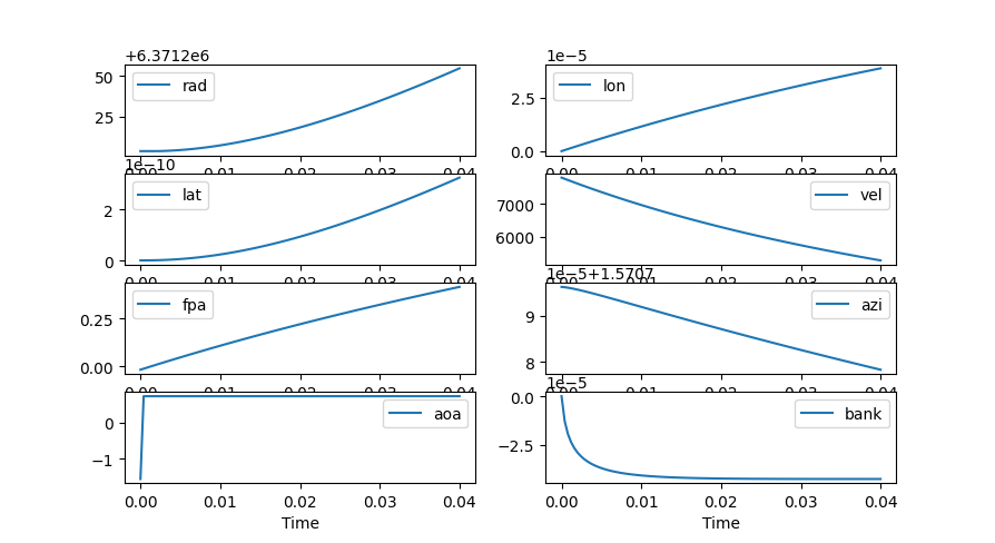
通过减少最后的时间(max=0.04表示成功的解)并重新排列方程以避免可能的零除法,我得到了一个成功的解:
m.Equation(rad.dt() == vel*m.sin(fpa))
m.Equation((rad*m.cos(lat))*lon.dt() == vel*m.cos(fpa)*m.sin(azi))
m.Equation(rad*lat.dt() == vel*m.cos(fpa)*m.cos(azi))
m.Equation(vel.dt() == -D-gravity*m.sin(fpa))
m.Equation(vel*fpa.dt() == (L*m.cos(bank)-m.cos(fpa)*(gravity-vel**2/rad)))
m.Equation(m.cos(fpa)*rad*vel*azi.dt() == \
(L*m.sin(bank)*rad+vel**2*(m.cos(fpa))**2*m.sin(azi)*m.tan(lat)))从一小段时间开始,观察状态可以帮助解决模型的疑难问题。

from gekko import GEKKO
import numpy as np
import matplotlib.pyplot as plt
import math
pi = math.pi
########################
######FRONT MATTER######
########################
m = GEKKO() # initialize GEKKO
nt = 101 # 2501 #simulation time is 2500 seconds
tfin = 0.04
m.time = np.linspace(0,tfin,nt) #time array
#==================#
#PARAMS
#==================#
Re = m.Param(value = 6371203.92) # radius of the earth, m
S = m.Param(value = 249.9091776) # vehicle surface area, m^2
cl0 = m.Param(value = -0.2070) # coeff lift param 1
cl1 = m.Param(value = 1.6756) # coeff lift param 2
cd0 = m.Param(value = 0.0785) # coeff drag param 1
cd1 = m.Param(value = -0.3529) # coeff drag param 2
cd2 = m.Param(value = 2.0400) # coeff drag param 3
H = m.Param(value = 7254.24) # density scale height, m
rho0= m.Param(value = 1.225570827014494) # sea level atmospheric density, kg/m^3
mu = m.Param(value = 3.986031954093051e14) #earth gravitational param, m^3/s^2
mass= m.Param(value = 92079.2525560557) #vehicle mass, kg
#===============================#
#BOUNDARY CONDITIONS
#===============================#
t0 = 0
alt0 = 79248
rad0 = alt0+Re
altf = 24384
radf = altf+Re
lon0 = 0
lat0 = 0
speed0 = +7802.88
speedf = +762
fpa0 = -1*pi/180
fpaf = -5*pi/180
azi0 = +90*pi/180
azif = -90*pi/180
#===============================#
#LIMITS ON VARIABLES
#===============================#
tfMin = 0; tfMax = 3000;
radMin = Re; radMax = rad0;
lonMin = -pi; lonMax = -lonMin;
latMin = -70*pi/180; latMax = -latMin;
speedMin = 10; speedMax = 45000;
fpaMin = -80*pi/180; fpaMax = 80*pi/180;
aziMin = -180*pi/180; aziMax = 180*pi/180;
aoaMin = -90*pi/180; aoaMax = -aoaMin;
bankMin = -90*pi/180; bankMax = 1*pi/180;
#===============================#
#VARIABLES
#===============================#
#state variables and bounds
rad = m.Var(value=rad0, lb=radMin, ub=radMax) # radius, m
lon = m.Var(value=lon0, lb=lonMin, ub=lonMax) # longitude, rad
lat = m.Var(value=lat0, lb=latMin, ub=latMax) # latitude, rad
vel = m.Var(value=speed0, lb=speedMin, ub=speedMax) # velocity, m/sec
fpa = m.Var(value=fpa0, lb=fpaMin, ub=fpaMax) # flight path angle, rad
azi = m.Var(value=azi0, lb=aziMin, ub=aziMax) # azimuth angle, rad
#control variables
aoa = m.MV(value=-20, lb=aoaMin, ub=aoaMax) # angle of attack, rad
aoa.STATUS = 1
bank = m.MV(value=0, lb=bankMin, ub=bankMax) # bank angle, rad
bank.STATUS = 1
#===============================#
#INTERMEDIATE VARIABLES
#===============================#
altitude = rad - Re
CD = cd0+cd1*aoa+cd2*aoa**2
rho = rho0*m.exp(-altitude/H)
CL = cl0+cl1*aoa
q = 0.5*rho*vel**2
D = q*S*CD/mass
L = q*S*CL/mass
gravity = mu/rad**2
#===============================#
#EOMS
#===============================#
p = np.zeros(nt) # mark final time point
p[-1] = 1.0
final = m.Param(value=p)
m.Equation(rad.dt() == vel*m.sin(fpa))
m.Equation((rad*m.cos(lat))*lon.dt() == vel*m.cos(fpa)*m.sin(azi))
m.Equation(rad*lat.dt() == vel*m.cos(fpa)*m.cos(azi))
m.Equation(vel.dt() == -D-gravity*m.sin(fpa))
m.Equation(vel*fpa.dt() == (L*m.cos(bank)-m.cos(fpa)*(gravity-vel**2/rad)))
m.Equation(m.cos(fpa)*rad*vel*azi.dt() == \
(L*m.sin(bank)*rad+vel**2*(m.cos(fpa))**2*m.sin(azi)*m.tan(lat)))
#===============================#
#OPTIMIZATION SOLVER
#===============================#
m.Maximize(lat*final)
m.options.SOLVER = 3
m.options.IMODE = 6
m.solve(disp=True)
plt.subplot(4,2,1)
plt.plot(m.time,rad.value,label='rad')
plt.legend()
plt.subplot(4,2,2)
plt.plot(m.time,lon.value,label='lon')
plt.legend()
plt.subplot(4,2,3)
plt.plot(m.time,lat.value,label='lat')
plt.legend()
plt.subplot(4,2,4)
plt.plot(m.time,vel.value,label='vel')
plt.legend()
plt.subplot(4,2,5)
plt.plot(m.time,fpa.value,label='fpa')
plt.legend()
plt.subplot(4,2,6)
plt.plot(m.time,azi.value,label='azi')
plt.legend()
plt.subplot(4,2,7)
plt.plot(m.time,aoa.value,label='aoa')
plt.xlabel('Time')
plt.legend()
plt.subplot(4,2,8)
plt.plot(m.time,bank.value,label='bank')
plt.xlabel('Time')
plt.legend()
plt.show()一个建议是关闭自由度,以验证解决方案(STATUS=0)与较小的时间范围。还可能需要额外的约束来将-2_pi中的三角函数保持为2_pi区域。还有关于初始化具有挑战性的问题的其他信息:
发布于 2022-01-16 05:50:28
成功!!谢谢您的反馈和指点@。在吸收了我在这里学到的知识,并恢复了状态的界限之后,我成功地使用了Gekko来产生一个与以前的解决方案一致的答案。非常兴奋的Gekko和这里的潜力!

https://stackoverflow.com/questions/70700585
复制相似问题