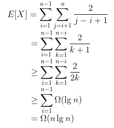
我在试着计算下面的表达式。我无法理解的地方是第3行到第4行。
Sigma(i=1 to n-1) (lg(n-i))
但我们能像第4行那样写吗?我不确定lg(n-i)是否是lg(n)的欧米茄。如果可能的话,我也想要直观的解释。谢谢。

发布于 2021-12-19 19:57:13
log(n-i)绝对不是Omega(log(n))。反例是当i = n - 1。或i = n - c表示任何常量c。
顺便说一下,我们可以为第四行E[x] > sum_{k=n/2}{n} log(n/2) = n/2 log(n/2) = Theta(nlog(n))编写。因此,E[x]在Omega(n log (n))中,关于E[x]的说法是正确的。
https://stackoverflow.com/questions/70408681
复制相似问题