我试图弄清楚均方误差(MSE)是如何由tensorflow计算的,并且是在错误上阅读的。
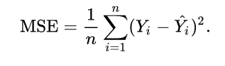
首先,味精被定义为(参见错误):

假设我有一个输出,并创建真值和预测值。
import numpy as np
import random
y_true = np.random.randint(0, 10, size=(2, 1))
print(y_true,"\n")
y_pred = np.random.randint(0,5,size=(2, 1))
print(y_pred)
[[7]
[5]]
[[2]
[2]]但是,当我调用tf.keras.losses.mean_squared_error(y_true, y_pred)时,我希望看到的是[(7-2)^2 + (5-2)^2]/2 = 17返回array([25, 9])。为什么tensorflow不计算平均值?
然后,增加列数。
y_true = np.random.randint(0, 10, size=(2, 3))
print(y_true,"\n")
y_pred = np.random.randint(0,5,size=(2, 3))
print(y_pred)
[[2 6 0]
[3 3 4]]
[[4 2 4]
[3 4 2]]tensorflow返回的答案是array([12, 1])。我无法理解这些值是如何计算的。我所期待的是[(2-4)^2+ (6-2)^2+(0-4)^2]/2 + [(3-3)^2 + (3-4)^2+ (4-2)^2]/2。
发布于 2021-12-09 20:53:50
第二个值计算为
a = np.array([2,6,0])
b = np.array([4,2,4])
((b - a)**2).mean()或[(2-4)^2+ (6-2)^2+(0-4)^2]/3
根据他们的文档,这相当于np.mean(np.square(y_true - y_pred), axis=-1)
因此,它是按行计算mse的。
https://stackoverflow.com/questions/70296539
复制相似问题