我想问有关图像预处理的分类任务与cnn。我标准化了输入数据(平均值= 0,标准差= 1),结果的范围是-1.1。如何使用结果范围为0,1的技术?这样图像就可以可视化了。
发布于 2021-12-07 08:12:30
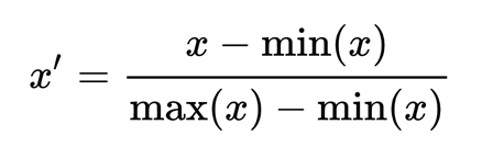
它也被称为最小-最大标度或最小-最大归一化,它是最简单的方法,包括重新标度特征的范围,使范围在0,1。

这里,max(x)和min(x)分别是特征的最大值和最小值。
我们也可以对不同的间隔进行归一化,例如选择在任意a,b间隔中放置变量,a和b是实数。若要重新确定任意一组值a,b之间的范围,公式如下:

https://stackoverflow.com/questions/70256711
复制相似问题