
随着工程结构设计的复杂性和性能要求的不断提高,如何高效探索设计空间、优化产品性能,已成为工程技术人员关注的核心问题。在这一过程中,实验设计(Design of Experiments, 简称 DOE)作为一种系统有效的设计与优化方法,得到了广泛应用。
那么,什么是 DOE 设计呢?简而言之,DOE是一种通过合理规划实验(或模拟)过程,系统地分析输入因素对目标系统的影响的方法。它的核心理念在于用尽可能少的实验次数,充分掌握各设计变量对系统性能的贡献,发现潜在的优化方向。与传统的“试错”法相比,DOE可以显著提高效率,降低开发成本。
本文将通过一个示例,介绍如何将Abaqus与Isight结合,基于DOE技术开展设计优化。
研究目标:针对一端固支,另一端受集中力加载的工字梁,结合五个几何参数的调整,以实现最大应力的最小化:
1)梁高:10.0 ≤ Beam Height ≤ 80.0 (mm)
2)翼板宽度:10.0 ≤ Flange Width ≤ 50.0 (mm)
3)腹板厚度:0.9 ≤ Web Thickness ≤ 5.0 (mm)
4)翼板宽度:0.9 ≤ Flange Thickness ≤ 5.0 (mm)
5)梁长:300 ≤ Length ≤ 700 (mm)

在 Abaqus 需要对初始尺寸设计进行建模,并完成仿真计算。
在 Abaqus 中,基于初始设计参数(Beam Height=80, Flange Width=40, Web Thickness=2, Flange Thickness=2, Length=400)创建工字梁几何模型。
为便于后续在 Isight 中识别参数,应在草图中将几何尺寸定义为参数化变量。

目标为最小化梁的最大应力,因此需在 Abaqus 中将应力作为输出结果的主要参数,其他结果可视需求输出。

Isight 能够读取 Abaqus 的 .cae文件,识别其中的几何尺寸、材料特性、载荷等参数。本示例选取梁高、翼板宽度、腹板厚度、翼板厚度和梁长作为设计变量。

通过读取 Abaqus 的.odb结果文件选择输出变量。定义最大等效应力(Step_1_gst_S_mises_max)作为目标输出,用于指导优化。

Isight 提供多种内置 DOE 技术(如全因子设计、拉丁超立方体设计等)。本案例选择 Optimal Latin Hypercube 法,该方法在均匀覆盖设计空间方面具有优势。
本例设计变量数为5个,选用二次多项式拟合,理论最小运行次数为:[(N+1) * (N+2)/2 = (5+1) * (5+2)/2 = 21]。为提高拟合精度和结果可靠性,运行次数设置为51组。

将梁的五个几何尺寸作为输入因子,并限定其上下限范围。。

根据因子范围和数据点数,生成51组设计参数矩阵,供后续运行仿真计算。

将最大应力设为优化目标,目标类型为“最小化 (minimize)”。

Isight 后处理模块高亮显示最佳结果,在设计矩阵中标记出对应的最优参数组合。需要注意,最优结果可能因 DOE 方法或数据点数量的不同而有所差异。

帕累托图 (Pareto chart) 对所有设计变量按其对目标影响的重要程度进行排序。如图所示,BeamHeight 参数对结果影响最大。

主效应图以可视化方式反映各因子对目标函数的影响趋势。例如,最大应力随梁高的增加先降低后升高,表明可通过合适的梁高设定来优化应力。

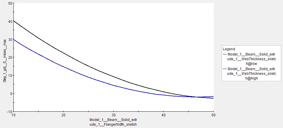
交互作用图揭示因子之间是否存在协同或抑制效应。例如,当翼板宽度和腹板厚度较低时,应力显著升高;二者提高至一定数值后,应力随之稳定。

在工程领域中,通过结合Abaqus有限元分析与Isight自动化集成平台,DOE可以发挥强大的作用:
1)快速探索性能空间:通过在设计空间中均匀分布采样点,量化各设计变量的主效应及交互效应,避免忽略关键因素。
2)提高产品可靠性:帮助工程师识别可能导致设计失效的关键参数,并针对这些参数进行优化或强化设计。
3)节省时间和成本:在虚拟仿真中完成大量实验工况的分析,避免繁琐的物理试验,大幅缩短开发周期。
4)辅助决策优化:通过结合优化算法,快速确定最佳设计方案,最终提升产品性能。
原创声明:本文系作者授权腾讯云开发者社区发表,未经许可,不得转载。
如有侵权,请联系 cloudcommunity@tencent.com 删除。
原创声明:本文系作者授权腾讯云开发者社区发表,未经许可,不得转载。
如有侵权,请联系 cloudcommunity@tencent.com 删除。