

前言:今天继续学习链表的相关题目,主要还是考察链表的基本操作,是面试的基础题常考,需要掌握。
给你一个链表,两两交换其中相邻的节点,并返回交换后链表的头节点。你必须在不修改节点内部的值的情况下完成本题(即,只能进行节点交换)。
示例 1:

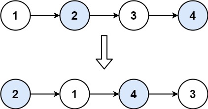
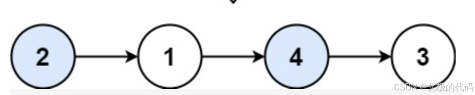
输入:head = [1,2,3,4]
输出:[2,1,4,3]示例 2:
输入:head = []
输出:[]示例 3:
输入:head = [1]
输出:[1]提示:
[0, 100] 内0 <= Node.val <= 100class Solution {
public ListNode swapPairs(ListNode head) {
ListNode dumyhead = new ListNode(-1); // 设置一个虚拟头结点
dumyhead.next = head; // 将虚拟头结点指向head,这样方便后面做删除操作
ListNode cur = dumyhead;
ListNode temp; // 临时节点,保存两个节点后面的节点
ListNode firstnode; // 临时节点,保存两个节点之中的第一个节点
ListNode secondnode; // 临时节点,保存两个节点之中的第二个节点
while (cur.next != null && cur.next.next != null) {
temp = cur.next.next.next;
firstnode = cur.next;
secondnode = cur.next.next;
cur.next = secondnode; // 步骤一
secondnode.next = firstnode; // 步骤二
firstnode.next = temp; // 步骤三
cur = firstnode; // cur移动,准备下一轮交换
}
return dumyhead.next;
}
}我们这里仍旧使用虚拟头节点的方式,在做这种题目的时候,我们最好要把流程图画出来,不然容易搞混。

如图所示:我们把虚拟头节点设为cur,然后分别用临时节点保存需要移动的节点,我们这里保存的是第一个和第二个节点,关于temp记录的cur.next.next.next,实际上是为了步骤三交换位置。记录完之后,我们就可以开始交换了
首先cur.next=secondnode,secondnode.next=firstnode;
之后,交换后的firstnode节点的next,实际上就是我们下次开始执行交换的节点的下个节点,也就是我们保存的临时节点temp。
因为是两两交换,自然就是虚拟头节点的next.next.next,这里没什么深究的,而此时的firstnode也就相当于一开始虚拟头节点的作用,用于联系交换后面两个节点。
如果链表有偶数个,那么循环的终止条件就是cur.next==null的时候,如图所示,执行完两次交换之后,此时的cur等于被交换之后val==3的那个位置

如图,因为是偶数节点,那么他后面的节点自然就是null
如果是奇数节点,我们画个图理解一下,那么也就是cur节点的next.next节点为null,因为cur.next的节点没有节点与之交换。
注意:这两个条件的位置一定不能交换,否则会报空指针异常
cur.next.next != null // 先执行这个!
// cur.next = 节点1
// cur.next.next = 节点1.next = null
// 访问 null.next → 💥 空指针异常!注意: 其实我们在设置临时节点的时候,只需要保存cur.next和cur.next.next.next,的值,一般不需要设置第二个节点的临时节点去保存值,因为我们拿虚拟节点交换的时候 步骤一:cur.next=cur.next.next(也就是第二个节点变成了第一个节点,交换了位置) 步骤二:firstnode=cur.next.next;(这里如果不用firstnode去记录第一个节点,那么它的值已经在步骤一的时候就被覆盖了) 步骤三:照常
// 递归版本
class Solution {
public ListNode swapPairs(ListNode head) {
// base case 退出提交
if(head == null || head.next == null) return head;
// 获取当前节点的下一个节点
ListNode next = head.next;
// 进行递归
ListNode newNode = swapPairs(next.next);
// 这里进行交换
next.next = head;
head.next = newNode;
return next;
}
} 其实递归的本质就是代替循环的操作
链表初始状态:
1 → 2 → 3 → 4 → null
第一层调用 swapPairs(1)
head = 1,head.next = 2,不为 null,不满足 base case
next = head.next = 2
newNode = swapPairs(3) (因为 next.next = 3)
第二层调用 swapPairs(3)
head = 3,head.next = 4,不为 null
next = head.next = 4
newNode = swapPairs(5) (因为 next.next = null)
第三层调用 swapPairs(5)
head = null → 满足 base case,返回 null
newNode = null
回到第二层 swapPairs(3)
next = 4,newNode = null
next.next = head → 4.next = 3
head.next = newNode → 3.next = null
4 → 3 → null
next → 返回节点 4
状态: 第二层返回到第一层的 newNode 是节点 4,且它带着 4 → 3 → null 这一段。
回到第一层 swapPairs(1)
next = 2,newNode = 4 → 3 → null
next.next = head → 2.next = 1
head.next = newNode → 1.next = 4
注意此时 1.next = 4,所以链表变成:
2 → 1 → 4 → 3 → null
最终返回
next = 2,作为新的头节点返回。
完整结果:2 → 1 → 4 → 3 → null ✅
关键点总结:
next 节点)
newNode 接收的是已经交换好的后续部分,然后挂在 head.next 上
变量 | 作用 | 是否移动 |
|---|---|---|
dummyhead | 永远指向虚拟头结点,用于最后返回 | ❌ 不移动 |
cur | 当前操作位置,需要不断移动 | ✅ 移动 |
为什么用 cur.next 而不是 dummyhead.next?
因为 cur 在移动,dummyhead 不动。当 cur 移动到后面时,cur.next 和 dummyhead.next 就完全不同了!
cur.next:当前要交换的节点对的前一个节点
dummyhead.next:整个链表的头节点(交换后会变化)
结语:
如果对你有帮助,请点赞,关注,收藏,你的支持就是我最大的鼓励!