

题目背景:LeetCode160
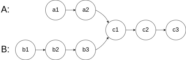
给你两个单链表的头节点 headA 和 headB ,请你找出并返回两个单链表相交的起始节点。如果两个链表没有交点,返回 null 。 图示两个链表在节点 c1 开始相交:

题目数据 保证 整个链式结构中不存在环。 注意,函数返回结果后,链表必须 保持其原始结构 。 示例 1:

示例 2:

示例 3:

(版本一)先行移动长链表实现同步移动
public class Solution {
public ListNode getIntersectionNode(ListNode headA, ListNode headB) {
ListNode curA = headA;
ListNode curB = headB;
int lenA = 0, lenB = 0;
while (curA != null) { // 求链表A的长度
lenA++;
curA = curA.next;
}
while (curB != null) { // 求链表B的长度
lenB++;
curB = curB.next;
}
curA = headA;
curB = headB;
// 让curA为最长链表的头,lenA为其长度
if (lenB > lenA) {
//1. swap (lenA, lenB);
int tmpLen = lenA;
lenA = lenB;
lenB = tmpLen;
//2. swap (curA, curB);
ListNode tmpNode = curA;
curA = curB;
curB = tmpNode;
}
// 求长度差
int gap = lenA - lenB;
// 让curA和curB在同一起点上(末尾位置对齐)
while (gap-- > 0) {
curA = curA.next;
}
// 遍历curA 和 curB,遇到相同则直接返回
while (curA != null) {
if (curA == curB) {
return curA;
}
curA = curA.next;
curB = curB.next;
}
return null;
}
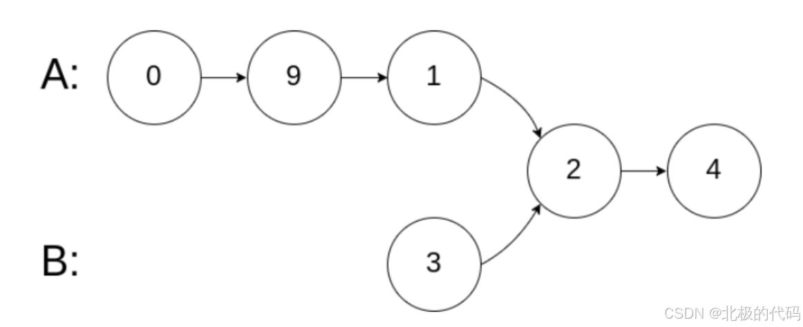
}在拿到这题目的时候,我们需要区分的第一个概念就是,我们要找的相交的节点,需要比较的是地址值,而不仅仅是节点的val值 简单的来说,如果两个节点的地址值相等,就已经保证了节点val值相等,同时还能保证相交节点之后的节点都是一样的,因为一个节点只能指向一个next,不存在在节点之后分叉的情况(前提是相交链表)。 因为这些的前提就是两个链表有相交节点,有相交节点的前提就是两个节点的地址值相等,两个节点的地址值相等就已经保证了在第一个相交节点之后,两个链表的之后节点也是完全相等的,也就是共用一条链的感觉。如图相交节点是2,2后面的节点是两条链都有的,因此2节点处的地址值才相等。

所以,仅仅比较节点的val值完全是片面的,要找到地址值相等的节点才可以。 因此,我们这题的主要思路就是先找到相交节点: 如果是一长一短的链表,我们先让长链表的指针移动两个链表的长度差的值,让两个链表从同一起点开始,因为我们要找的相交节点,要求可以说是很苛刻,相交节点之后的长度,val值等等,都要完全一样,不然就不是相交节点。所以我们还要记录两个链表的长度,从而进行比较和计算长度差。

同一起点之后: 我们就开始比较两个链表的指针,去寻找相交节点,如果不相同,则同时向后移动,继续比较,这里强调是同时相同,因为要保证相交节点之后两个链表的长度也是一样的,因为已经是从同一起点开始移动比较了。 如果没找到,则两个链表不相交,循环退出,返回空指针。 我们这里curA==curB,比较的就是地址值,仅仅比较val值太片面,不能保证之后的节点是否相等,这是本题的核心。
易错点: 我们在题目中先定义ListNode curA curB的时候,这是定义加初始化,但是由于我们用这两个指针进行了循环计算长度,此时指针位置已经移动到末尾了,所以我们为了方便下面的使用,又进行了操作 curA=headA,curB=headB,这里是重置,归位的作用。 同时我们还要比较哪个链表的长度长,哪个短,需要进行条件判断,比较麻烦,我们在这里有一个操作,直接进行硬性规定,直接令curA为长链表的表头,lenA为其长度。只需要进行一个判断,如果B>A,直接进行交换即可,需要定义一个 临时变量进行临时存储。
如果对你有帮助,请点赞,关注,收藏,你的支持就是我最大的鼓励,有疑问也可以在评论区发出来,让我们一起进步!
