

前言:今天是链表篇章的最后一题,但是对于新手来说,一看题目,就有点胆怯了,这题可以说是纸老虎了,虽然看着不是很简单,其实也不是那么简单,里面需要注意很多细节地方,还有一些简单的推理,所以还是需要重点理解的。
给定一个链表的头节点 head ,返回链表开始入环的第一个节点。 如果链表无环,则返回 null。
如果链表中有某个节点,可以通过连续跟踪 next 指针再次到达,则链表中存在环。 为了表示给定链表中的环,评测系统内部使用整数 pos 来表示链表尾连接到链表中的位置(索引从 0 开始)。如果 pos 是 -1,则在该链表中没有环。注意:pos 不作为参数进行传递,仅仅是为了标识链表的实际情况。
不允许修改 链表。
示例 1:

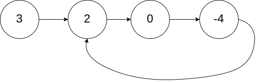
输入:head = [3,2,0,-4], pos = 1
输出:返回索引为 1 的链表节点
解释:链表中有一个环,其尾部连接到第二个节点。示例 2:

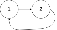
输入:head = [1,2], pos = 0
输出:返回索引为 0 的链表节点
解释:链表中有一个环,其尾部连接到第一个节点。示例 3:

输入:head = [1], pos = -1
输出:返回 null
解释:链表中没有环。提示:
[0, 104] 内-105 <= Node.val <= 105pos 的值为 -1 或者链表中的一个有效索引public class Solution {
public ListNode detectCycle(ListNode head) {
ListNode slow = head;
ListNode fast = head;
while (fast != null && fast.next != null) {
slow = slow.next;
fast = fast.next.next;
if (slow == fast) {// 有环
ListNode index1 = fast;
ListNode index2 = head;
// 两个指针,从头结点和相遇结点,各走一步,直到相遇,相遇点即为环入口
while (index1 != index2) {
index1 = index1.next;
index2 = index2.next;
}
return index1;
}
}
return null;
}
}这题代码看着很简单很少,但是重点是思路,下面我们具体分析:
首先,我们第一个需要判断的就是链表是否有环。这里我们使用快慢指针的方式,分别定义 fast 和 slow 指针,从头结点出发,fast指针每次移动两个节点,slow指针每次移动一个节点,如果 fast 和 slow指针在途中相遇 ,说明这个链表有环。
为什么fast 走两个节点,slow走一个节点,有环的话,一定会在环内相遇呢,而不是永远的错开呢
这就需要好好解释一下了:首先,既然是快指针,肯定是先进入环中的(因为fast指针每次移动两个节点,为什么是两个节点,后面我们就知道了),fast进入环中之后,那肯定就一直在环中运动,与慢指针也只能是在环中相遇,我们可以用相对运动的方式,此时相对于慢指针,快指针始终以每次一个节点的速度靠近慢指针,此时慢指针相对静止。那么只要是有环,快指针就一定能追上慢指针。我们也可以画图模拟一下过程,随机让fast指针在任意一个节点开始追慢指针,发现最后都是快指针差一个节点追上慢指针。

动态过程如图:

解决了第一个问题之后
那么继续回到题目的要求,要求返回链表开始入环的第一个节点,若链表无环,则返回null(这个已经在第一步解决了)。
假设从头结点到环形入口节点 的节点数为x。 环形入口节点到 fast指针与slow指针相遇节点 节点数为y。 从相遇节点 再到环形入口节点节点数为 z。 如图所示:

那么相遇时: slow指针走过的节点数为: x + y, fast指针走过的节点数:x + y + n (y + z),n为fast指针在环内走了n圈才遇到slow指针, (y+z)为 一圈内节点的个数A。
因为fast指针是一步走两个节点,slow指针一步走一个节点, 所以 fast指针走过的节点数 = slow指针走过的节点数 * 2:
(x + y) * 2 = x + y + n (y + z)
两边消掉一个(x+y): x + y = n (y + z)
因为要找环形的入口,那么要求的是x,因为x表示 头结点到 环形入口节点的的距离。
所以要求x ,将x单独放在左面:x = n (y + z) - y ,
再从n(y+z)中提出一个 (y+z)来,整理公式之后为如下公式:x = (n - 1) (y + z) + z
这里我们也可以使用从特殊到一般的办法,递归寻找,对n进行赋值,也能发现这一规律。 注意这里n一定是大于等于1的,因为 fast指针至少要多走一圈才能相遇slow指针。
由此我们就可以找到入环的第一个节点。如下操作
if (slow == fast) {// 有环
ListNode index1 = fast;
ListNode index2 = head;
// 两个指针,从头结点和相遇结点,各走一步,直到相遇,相遇点即为环入口
while (index1 != index2) {
index1 = index1.next;
index2 = index2.next;
}
return index1;
}同时这里又有一个问题了,为什么n一定是大于等于一呢,就好比跑步一样,一个快的追一个慢的,那么你们要想相遇,就一定是快的跑了一圈之后或者n,之后追到了慢的,毕竟不可能反向跑吧。
为什么第一次在环中相遇,slow的 步数 是 x+y 而不是 x + 若干环的长度 + y 呢?

需要注意的是,我们要讨论的是第一次相遇的时候,这时就一定有: slow 刚进入环的那一刻 环长 = L = y + z 1. slow 刚入环时,位置在哪里
2. 两者之间的距离 因为 fast 速度是 2 倍,slow 走 x 时,fast 走 2x。所以 fast 已经领先一段距离。 但不管领先多少,距离一定满足:0 ≤ 距离 d < L 不可能 ≥ L,否则 fast 早就多跑一圈了。
3. 接下来开始追
距离是 d,所以只需要 d 步 就会相遇。 4. 关键来了 因为 d < L所以 slow 在环里只走了 d 步 就相遇了。 也就是说:slow 在环里走的步数 y = d < L y < 环长→ slow 根本没走完一圈 就被追上了。 第一次相遇时,慢指针一定没有走完一圈环,所以它的路程只能是 x+y,不可能带上若干个环。
1. 第一句重点 slow 进环的时候,fast 一定已经在环里了。→ 这个没问题,因为 fast 快。
2.核心推理(重点!) 当 slow 刚进环时:
3. 原文最关键一句 fast 走到环入口时,走了 k + n 步那么 slow 应该走了 (k + n)/2 步 因为 fast 速度是 2 倍,路程也是 2 倍。
4. 最关键不等式(决定一切) 因为 k < n所以: (k + n) / 2 < (n + n) / 2 = n 也就是说: slow 走的距离 < n n 是一环的长度。
5. 最终结论 slow 还没走完一环,fast 已经回到环入口了! 这意味着: 在 slow 走完第一环之前,fast 必然追上 slow
6. 所以: 第一次相遇时,slow 绝对不可能走完一环 slow 走过的路程一定是 x + y 绝对不可能是 x + 一环 + y
结语:如果对你有帮助,请点赞,关注,收藏,你的支持就是我最大的鼓励!
