认知灵活性作为贝叶斯状态估计的潜在结构算子
Cognitive Flexibility as a Latent Structural Operator for Bayesian State Estimation
https://arxiv.org/pdf/2604.08130

摘要:
深度随机状态空间模型使得在非线性、部分可观测系统中进行贝叶斯滤波成为可能,但通常假设潜在结构是固定的。当该假设被违背时,仅进行参数自适应可能导致持续的信念不一致。我们引入认知灵活性(CF)作为一种表征级算子,它通过基于信息的预测得分在线选择潜在结构,同时保持贝叶斯滤波递归。结构失配被形式化为固定结构下不可消除的预测不一致性。结果表明,由此产生的信念-结构递归是适定的,展现出结构下降性质,并允许有限次切换,且在模型设定正确时可归约为标准贝叶斯滤波。在潜在动态失配、观测结构偏移及设定正确的情境下进行的实验证实,CF在存在失配时能提升预测精度,同时在模型设定正确时保持非侵入性。
关键词:随机状态空间模型;信念推断;潜在结构;结构自适应;不确定性感知估计。
1 引言
现代具备学习能力的控制系统[1,2]越来越多地在系统状态、观测与输入之间的关系并非固定不变,而是随时间演变的环境中运行。这种演变出现在许多物理系统[3]中,源于传感模态、运行工况[4]、任务语义或交互条件的变化,在具有柔顺动力学特性[5]或强环境耦合[6,7]的系统中尤为显著。当这些变化发生时,局部准确的模型可能会在整体上与真实的数据生成过程失配,导致持续的预测误差和闭环性能下降——即使采用了经典的参数自适应或鲁棒化技术[8,9]。因此,理解如何对这种结构非平稳性进行推理并作出响应,对于不确定性下的可靠控制与决策至关重要。
通常,控制与决策中的不确定性通过假设模型结构固定,并通过参数自适应、鲁棒控制器设计或随机噪声建模来补偿失配加以处理[10–12]。在此范式下,控制与预测是针对状态信念(即给定可用观测值所推断出的潜在状态分布)进行的,而非针对真实但未观测到的系统状态[13]。随后,贝叶斯状态估计[14]为该信念的时间演化提供了一致性的机制,并构成了具备学习能力的控制系统的核心基础。
然而,当所假设的潜在结构本身不正确时,这些机制从根本上受到限制:所产生的信念可能在数值上依然定义良好,但却与真实的系统行为产生系统性不一致。这种现象——此处称为结构失配——无法仅通过参数更新消除,并构成了固定表示模型的一种内在故障模式。尽管其在机器人技术、自主系统与基于学习的控制中具有广泛的实际意义,但结构失配在贝叶斯信念演化本身层面(即[15–17])所受到的形式化处理仍然有限。
近年来,数据驱动建模显著扩展了经典的状态空间模型(SSM)框架[18]。特别是,深度随机状态空间模型(DeepSSSMs)[19,20]将贝叶斯滤波与从数据中学习到的具有强表达力的非线性表示相结合,使得在复杂高维系统中进行状态估计与预测成为可能,包括用于规划与控制的基于视觉的模型和潜在动力学模型[21–25]。除了起源于序列建模之外,深度状态空间表述已被越来越多地应用于系统辨识与面向控制的建模中,包括神经状态空间架构、基于编码器的辨识流程以及用于基于学习的控制的随机潜在模型[19,26,27,16,28,29]。尽管取得了这些进展,大多数DeepSSSM表述仍保留了从经典模型继承的一个关键假设:状态空间模型的潜在结构在整个运行过程中是固定的。
这种固定结构假设恰恰在学习型模型最具吸引力的场景中变得具有限制性:在传感与交互条件变化下的部署,以及超出训练分布的运行[30]。在实践中,潜在状态与观测之间的关系可能因传感器退化、环境变化、未建模的运行工况或任务语义的转变而发生变化(即[31])。当此类变化发生时,固定潜在表示内的参数自适应往往是不充分的:贝叶斯信念可能在数值上依然定义良好,但却与真实的数据生成过程产生系统性错位,从而产生持续的预测误差并导致闭环性能下降[8,32,33]。在不确定性量化、风险敏感性与可靠性对安全决策至关重要的场景中,该问题尤为尖锐[34–37]。
在控制与估计领域,解决模型失配与非平稳性的需求早已被认识到[38–40]。经典方法包括自适应观测器[41]、增益调度[42]以及多模型估计[43,44]。交互多模型(IMM)滤波器与混合观测器[45,46]允许在一组有限的预定义结构之间进行切换,并且当相关运行工况能够被先验识别时,它们具备强有力的理论保证[47,43,48,49]。这些方法阐明了一个重要观点:结构变化是可以处理的,但通常仅在能够提前枚举出“正确”模式并维护与模式一致的滤波模型时才可行。
然而,在许多当代数据驱动的场景中,支撑经典混合与多模型方法的枚举假设难以成立。结构失配可能无法通过少量固定的候选模型库很好地捕获,且学习到的潜在表示可能以一种难以通过标准残差分析或噪声膨胀轻易诊断的方式失效。因此,近期的工作探索了学习增强的滤波流程[50]、元学习策略[51,52]以及跨任务泛化[29]。尽管这些方法大幅扩展了表示能力,但它们留下了一个对可靠性至关重要的系统理论问题:当潜在表示本身变得受限时,贝叶斯信念演化应如何响应?
我们引入认知灵活性(CF)[53,54]作为DeepSSSMs中用于结构重组的信念级机制。CF被形式化为一种算子,用于在给定时刻选择由哪个潜在表示主导信念演化。对于任何固定结构,底层的贝叶斯滤波递归保持不变;CF仅通过以下方式起作用:当持续的信念不一致表明当前结构已变得受限时,启用表示之间的受控切换。因此,表示自适应变得显式且可分析,同时保留了信念演化的概率适定性。
据此,CF并非一种估计启发式方法,而是在结构非平稳性下支配信念演化的表示级控制变量;它在一组预定义的潜在结构族上运行,而非在线合成新的表示。
从系统理论的角度来看,这一表述提出了现有DeepSSSM或混合估计框架尚未明确解决的三个问题:(i)如何将结构失配刻画为固定潜在表示的内在局限性;(ii)如何将表示重组建模为一种与贝叶斯滤波相互作用而非取代它的算子;以及(iii)在何种条件下,在线结构自适应能够提升预测一致性,同时保持受控与稳定。
贡献。本文推进了关于表示自适应及其系统理论影响的信念级视角。主要贡献如下。 (i)结构失配作为一种根本性的估计故障模式。我们将结构失配形式化为真实条件状态分布与由任何固定潜在结构诱导的后验信念之间不可消除的散度。该刻画识别出一类无法仅通过参数自适应、鲁棒化或噪声建模消除的估计误差[8,44,33]。 (ii)认知灵活性作为一种信念级结构算子。我们引入认知灵活性(CF)作为一种直接与贝叶斯滤波递归耦合的潜在结构算子。与假设固定潜在表示且仅通过参数更新进行自适应的经典及基于学习的状态空间模型[10,11,22–24,19]不同,CF实现了跨越潜在结构的受控切换。
(iii)自适应信念演化的系统理论性质。我们确立了所得信念-结构动力学的基本性质,包括信念空间不变性、基于信息的结构单调改进、在得分持续分离条件下的有限次切换,以及在结构设定正确时向标准贝叶斯滤波的归约。这些结果通过提供表示重组的信念级刻画,并阐明结构自适应在何时能带来改善以及何时保持非侵入性,从而对经典的多模型与混合估计框架[47,43]形成了补充。 数值实验证明了系统从潜在动力学失配中的恢复能力、在观测结构偏移下的自适应能力,以及在设定正确工况下的非侵入性。
与控制的相关性。由CF增强滤波器产生的信念

直接作为信念空间控制律[10,55]的信息状态,包括在预测分布上进行规划的MPC方案[15]。结构失配(即定理10中形式化的故障模式)会直接传播至控制性能:设定错误的信念会膨胀不确定性估计,引发过度保守的约束收紧,并降低闭环跟踪性能。CF在信念层面处理这一故障,使其在到达控制层之前得到解决。一篇配套论文[56]针对含噪新息得分发展了相应的鲁棒CF理论,将当前的估计框架与实际的控制实现相连接。
本文其余部分组织如下。第2.2节介绍了问题表述与信念表示。第3节将CF框架阐述为信念空间上的结构算子。第3.1–3.3节分析了适定性、结构下降性质、有限次切换与长期行为。第4节报告了数值研究结果,第5节总结其意义并展望未来方向。
1.1 记号

2 预备知识与问题表述
我们考虑部分观测下的离散时间状态估计,其中状态演化和观测过程均受到随机扰动的影响,且可能随时间变化。核心挑战在于,没有任何单一固定模型能够在所有运行条件下一致地描述系统行为——这一局限性促使了下面开发的 CF 框架。
2.1 预备知识
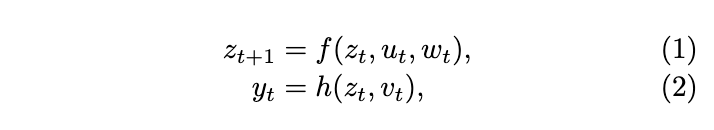
物理过程被抽象地描述为




2.2 问题表述
与其在 (1)–(2) 中采用一个可能设定错误的结构模型,不如直接在条件概率律的层面构建推断 [10,59]。随后的推导必然是详尽的,因为潜在结构 ss 在三个不同的层面介入——模型类、滤波算子和信念轨迹——为了精确陈述第 3 节的主要结果,必须对这三者加以区分。核心对象是后验信念

在 DeepSSSM 框架 [57] 中,(1)–(2) 中的抽象映射 (f,h) 并非被直接辨识。尽管记号遵循该框架,但第 3 节的结果适用于任何形式为 (8) 的参数化贝叶斯滤波器,而不依赖于用于表示 pθ 的具体架构。相反,如注记 1 所述,它们对信念演化的影响是通过一族参数化的条件分布来捕获的:



2.3 问题陈述



3 认知灵活性作为潜在结构算子





为了将 CF 缓解持续性结构不一致性(例如由定义 5 所量化的那样)这一要求形式化,我们引入以下设计假设。




3.1 适定性(基础性,必要性)


接下来的结果量化了在自适应辨识理论 [8,44] 中,相较于固定结构滤波,结构自适应的表征收益。

注记 13(表征级可达性) 不同于由参数不确定性或概率混合动力学 [34,60] 引起的经典可达集扩大,CF 通过潜在结构 ss 的变化而非固定结构内的参数变化来扩大容许的信念演化。





3.3 行为后果(核心推论)



4 数值实验
四项实验在互补的失配场景下评估了 CF 的性能:潜在动力学中的结构失配(实验 4.1)、观测模型的突然偏移(实验 4.2)、无偏移的阴性对照实验(实验 4.3),以及二维潜在状态(实验 4.4)。这些实验共同检验了第 3 节所确立的三个性质:失配下的准确性、结构自适应的正确性,以及在设定正确时的非侵入性。
全文报告了三项指标。状态估计精度通过以下方式衡量:

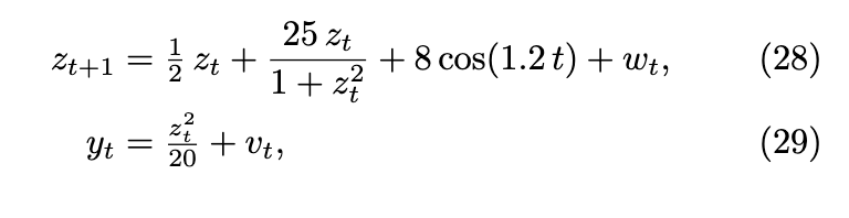
4.1 实验 4.1:潜在动力学中的结构失配






4.2 实验 4.2:观测模型的突变偏移
本实验旨在测试 CF 是否能在未知时刻 ττ 检测并适应观测结构的突变,同时潜在动力学 (28) 全程保持固定。






值得注意的是,无论是 CF 还是 Fixed-SAT 在偏移后都无法完全恢复真实状态的大幅变化。这不是 CF 本身的局限性,而是饱和映射 (31) 为多对一映射的固有结果:在 t=τ之后,潜在状态无法从观测中全局辨识。CF 收敛至可用的最佳预测一致模型,正如定理 20 所保证的那样。定量结果报告于表 1 中。

4.3 实验 4.3:无观测偏移(阴性对照)
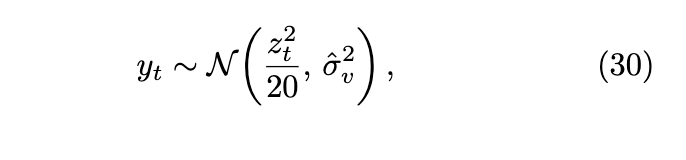
本实验旨在探究当不存在结构变化时——即活跃结构在整个时间范围内已具备预测一致性——CF 是否能保持非侵入性。该实验使用了与实验 4.2 相同的潜在动力学 (28) 和候选观测结构,但真实观测过程在所有时刻 tt 均与二次模型 (30) 一致:任何时刻均未发生偏移。
实现。 CF 机制使用了与实验 4.1 和 4.2 相同的 W=10 步窗口化得分和迟滞裕度 δ=1.0,未添加额外的惩罚项或持续性计数器。这确保了相对于实验 4.2 的任何行为差异仅可归因于偏移的缺失,而非超参数的改变。

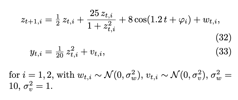
4.4 实验 4.4:多维潜在状态

第 3 节的理论结果是针对一般波兰空间 ZZ 陈述的,并不依赖于潜在状态为标量这一假设。本实验证实,CF 机制及其保证自然地扩展到了二维设置中,而在该设置中,较高的分数方差使得结构选择更具挑战性。






5 结论
我们引入了认知灵活性(CF),这是一种信念级机制,用于在结构不匹配的情况下进行贝叶斯滤波中的在线潜在结构选择。通过在每一步选择最小化基于新息(innovation)的预测分数的结构——而不修改底层的贝叶斯递归——CF 是适定的,表现出结构下降性质,并且当存在预测一致的结构时,会退化为标准滤波。跨越不匹配、偏移和模型设定正确状态的实验证实,CF 仅在必要时进行适应,切换次数有限,并且在设定正确时不引入额外开销。不可约性结果(定理 10)具有直接的控制理论推论:结构不匹配会产生持续的性能退化,仅靠参数适应无法纠正。CF 在信念层面解决了这一问题,补充了那些假设固定内部表示的鲁棒和自适应 MPC 框架 [15,34]。将 CF 扩展到信念直接反馈给控制策略的闭环设置中,是自然的下一步工作。
原文链接:https://arxiv.org/pdf/2604.08130