单负螺旋度胶子树图振幅非零
Single-minus gluon tree amplitudes are nonzero
https://arxiv.org/pdf/2602.12176

单负 helicity 的 n-gluon 树级散射振幅被重新研究。通常被认为为零的振幅,在此被证明在 Klein 空间中存在的某些“半共线”构型下或对于复动量时非零。我们推导了一个分段常数闭式表达式,用于描述一个单负 helicity gluon 衰变成 n − 1 个正 helicity gluon 的过程,该表达式是其动量的函数。这个公式非平凡地满足了多个一致性条件,包括 Weinberg 软定理。
物理定律被简洁地编码在散射振幅中,它给出了任意给定的入射粒子集合碰撞并产生任意给定的出射粒子集合的量子概率。这些振幅可以从费曼图展开中系统地推导出来,该展开微扰地求和了所有可能的量子过程。来自标准模型费曼图展开的理论结果与实验的吻合程度达到了前所未有的14位小数[1-3]。
在实践中,散射振幅的计算可能极其困难。¹ 除了其他障碍外,n粒子振幅的费曼图数量的增长速度快于n的指数级。然而,尽管存在这种表面上的复杂性,在各种情境下,抵消会导致一个非常简单的最终答案。这表明我们目前对量子物理定律的理解严重不完整,需要一个更有效的表述。过去几十年里,人们在这方面付出了大量努力,并取得了有希望的见解;参见,例如,[4-10]。
这种现象的一个突出例子出现在树级色序gluon散射中——gluon是传递强力的粒子,构成杨-米尔斯理论。粗略地看,n-gluon散射振幅涉及阶乘n!项。众所周知,对于MHV(最大 helicity 违反)树级振幅这一特殊情况,Parke和Taylor[11]为所有n给出了一个简单而优美的、闭式的单项表达式。
根据定义,n-gluon MHV振幅有2个负helicity粒子和n-2个正helicity gluon,这在树级一般(复化)运动学下是最大允许数量[4, 11-14]。这赋予了它们在理论中的特权地位,使其能够作为完整杨-米尔斯理论的有效构建模块。
一般来说,n-2实际上并不是正gluon的最大允许数量。在本文中,我们展示了n-1正(或“单负”)振幅在受限的“半共线”运动学下实际上是允许的。² 振幅被划分为若干腔室,其壁是各种半共线动量子集之和正交的区域,具体描述如下。(剥离后的)振幅在每个腔室内是分段常数整数。每个腔室所赋的值由微扰的Berends-Giele递归[15]确定,该递归等价于费曼图。
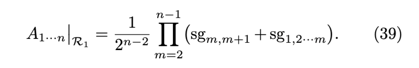
此外,对于对应于单负gluon衰变成n-1个正gluon的特殊运动学区域,我们给出了对所有n都成立的简单公式。在这个特殊区域,剥离后的振幅仅取值+1、-1或0。
该区域振幅的关键公式(39)最初由GPT-5.2 Pro推测,随后由OpenAI内部的一个新模型证明。该解通过手算使用Berends-Giele递归进行了检验,并且还被证明非平凡地满足软定理、轮换对称性、Kleiss-Kuijf恒等式和U(1)解耦恒等式——这些性质均无法通过直接观察得到。
这些单负振幅在杨-米尔斯理论中的结构性作用仍有待理解。我们注意到,虽然我们的表达式是对直接费曼图表达式的巨大简化,但完全有可能通过巧妙选择解析延拓、变量或基,即使在单负衰变道之外,也能得到更简单的表达式。我们怀疑我们的方法会带来更多有趣的见解,并希望本文能成为通往更完全理解散射振幅内在结构道路上的一个步骤。
单负振幅也出现在自对偶杨-米尔斯理论(SDYM)[16]中,这是杨-米尔斯理论的一个受限部分,并可能解决其中的一个谜题。一般来说,费曼展开的树级振幅被认为等价于完全非线性的经典理论。然而,一方面,SDYM的经典解空间是非常非平凡的[17-19],而另一方面,树图先前被认为产生平凡的两点和三点表达式。后者似乎不足以重现前者。可能本文发现的SDYM中的单负树级振幅解决了这个矛盾。
本文的组织结构如下。在第一部分,我们设定符号,描述标准的MHV振幅,解释半共线单负振幅如何规避通常的不可能条件,然后推导出一般的Berends-Giele递归关系。该解通过了包括软定理在内的各种一致性检验,我们提供了直到n=6点的显式公式,此时已有32项。在第二部分,我们限制到一个特殊的运动学道,记为R1,其中一个入射负helicity gluon和n-1个出射正helicity gluon。在那里,利用直到n=6的各种恒等式,我们发现答案可以表示为n-2个投影算子的带符号乘积。这激发了对所有n公式的猜想,我们通过Berends-Giele递归直接验证了该猜想。我们在附录A中推导了一个多重δ函数恒等式,并在附录B中提供了单负情况下Berends-Giele递归的更多细节。
我们分析的更多细节,包括R1道之外的单负振幅的更一般公式,将在别处发表。我们的主要结果直接引出了许多推广。该构造可以直接从gluon振幅推广到引力子振幅,并且具有简单的超对称化形式。这些结果应在S-代数、Lw1+∞代数[20, 21]及其超对称扩展下变换。在 celestial 全息背景下,某些扇区中振幅的Mellin变换由Lauricella函数给出。这些结果将在别处报道。
A. 记号与有用恒等式 本小节定义了我们采用的记号4,并给出若干有用的恒等式。对于无质量动量,我们使用旋量螺旋性变量 [13]。




I、单负极化振幅 在本节中,我们首先解释为什么关于单负极化 n 粒子树振幅为零的标准论证在外部粒子全部共线时实际上失效。随后,我们给出一个递推关系(详见附录 B 推导),该关系可确定所有 n 下的这些振幅。
A. 半共线区域 我们称之为半共线区域的运动学区域定义为





B. 递推关系
本文的第一个主要结果是下文 (21) 式给出的递推关系。该关系决定了所有 nn粒子单负极化树图振幅。求解此递推关系等价于(但略微简化于)对这些振幅的费曼图求和。


C. 一致性检验
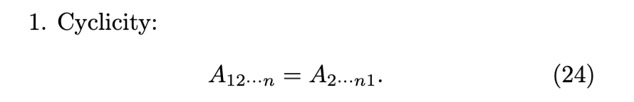
由定义 (15) 可知,剥离振幅 A12···n 满足以下性质:




II.第一区域中的振幅
本节介绍本文的下一个主要结果:一个关于在半共线区域内具有部分受限运动学的 nn点单负极化振幅 (21) 的简单公式。
A. 半共线区域内的受限运动学




B. 具体实例
在区域 R₁ 中,利用 (34)、动量守恒和旋量恒等式,可以证明上一节的长表达式极大地简化为:

这表明可能存在一个适用于所有 nn的更简洁的公式。
C. 通用公式







原文链接:https://arxiv.org/pdf/2602.12176